题目列表(包括答案和解析)

 0  209591  209599  209605  209609  209615  209617  209621  209627  209629  209635  209641  209645  209647  209651  209657  209659  209665  209669  209671  209675  209677  209681  209683  209685  209686  209687  209689  209690  209691  209693  209695  209699  209701  209705  209707  209711  209717  209719  209725  209729  209731  209735  209741  209747  209749  209755  209759  209761  209767  209771  209777  209785  447348 

41.人体在神经系统和体液的调节下,通过各个器官、系统的协调活动,共同维持着内环境的相对稳定状态。下列与人体稳态相关的叙述中不正确的是:

A.血浆中存在缓冲物质,维持着pH的稳定

B.人体肝脏、肾脏的病变都会影响到内环境稳态的维持

C.某高热病人,体温持续维持在38℃,其原因是产热量高于散热量

D.水、盐代谢的平衡使细胞生活环境的渗透压保持相对稳定

试题详情

40.下图是科学家对果蝇一条染色体上的基因测定结果。下列有关

该图的说法中,正确的是:

A. 控制朱红眼与深红眼的基因是等位基因

B. 控制白眼和朱红眼的基因在遗传时遵循基因的分离定律

C. 该染色体上的基因在后代中一定都会表达

D. 该染色体上的碱基数A=T、G=C

试题详情

39.下列有关遗传变异的四种说法,不正确的是:

A.中心法则体现了遗传信息传递的一般规律   

B.高茎豌豆(Dd)产生的雌、雄配子的比例为1∶1

C.马和驴杂交生出的骡子是二倍体

D.基因突变不一定引起生物性状发生改变

试题详情

38. 在下列科学研究的过程中,采用的技术手段相似的一组是:

①证明光合作用的过程中释放的氧气来自于水  ②研究分泌蛋白合成、运输和分泌的过程 

③肺炎双球菌转化实验 ④T2噬菌体侵染细菌的实验证明DNA是遗传物质 

A.①②③④       B.①②③       C.②③④       D. ①②④

试题详情

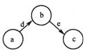
37.右图是表示某些信息传递机制的模式图,图示中箭头表示信息的传递方向。下列有关叙述中,正确的是

A.如果该图表示反射弧,则其中的信息都是以局部电流形式传导的

B.若abc依次为下丘脑、垂体、甲状腺,则c分泌的甲状腺激素对a分泌d,b分泌e具有抑制作用

C.如果该图表示细胞中遗传信息的表达过程,则d过程只发生于细胞核中

D.如果该图表示食物链中信息传递的方向,则在生态系统中信息传递的方向是单向的

试题详情

36. 如右图所示,A、B、C、D、E、F各代表一种生物种群,下列对该图分析合理的是

A.该图表示一个生物群落

B.图中C种群获得的能量占A种群能量的10%-20%

C.若D种群为增长型年龄组成,则E种群密度将逐渐增大

D.E和F存在着地理隔离和生殖隔离

试题详情

35.下表表示人体细胞外液和细胞内液的物质组成和含量的测定数据。相关叙述不正确的是

A.④属于细胞内液,因为其含有较多的蛋白质、K+

B.②属于血浆,③属于组织液,②的蛋白质含量比③多

C.肌细胞中的CO2从产生场所扩散到②至少需穿过5层磷脂分子层

D.③与④的成分存在差异的主要原因是细胞膜的选择透过性

试题详情

34.下面有关生物实验的叙述中错误的一组是

①将糖尿病病人的尿液加入斐林试剂,混匀后呈现砖红色沉淀

②用显微镜观察根尖细胞有丝分裂时,看到的分生区细胞在右下方,为使观察目标移至视野中央,应该将装片向右下方移动

③观察洋葱根尖细胞有丝分裂时,品质好的高倍镜可以看到细胞从分裂前期到末期的变化

④观察细胞质壁分离时,浸润在0.3g/mL蔗糖溶液中的紫色洋葱表皮细胞液泡颜色变深了

⑤用高倍镜观察线粒体可用健那绿染色,使线粒体呈现灰绿色

⑥在观察DNA和RNA在细胞中的分布可用吡罗红甲基绿染色剂染色

A.①②⑥   B.②③④   C.③④⑤    D.①③⑤

试题详情

33.选择适合的实验材料和正确科学的研究方法是取得成功的关键。下列关于实验材料选择和科学实验方法及技术使用的叙述中,不正确的是

A.孟德尔在研究豌豆遗传的杂交实验时,运用了“假说-演绎法”

B.观察植物细胞有丝分裂选择根尖分生区,观察减数分裂可选择成熟的精巢

C.格里菲思利用肺炎双球菌研究遗传物质时,运用了放射性同位素标记法

D.质壁分离和质壁分离复原选择引流法,叶绿体色素分离采用纸层析法

试题详情

32. 下图为人体内体温调节的示意图,有关叙述不正确的是:

A. 当受到寒冷刺激时,a、b、c、d激素的分泌均会增加 

B. 上图可反映出激素具有分级调节的特点

C. 下丘脑是感觉体温变化的主要中枢,是形成冷觉、热觉的部位 

D. c、d激素分泌增多,可促进骨骼肌与内脏代谢活动增强,产热量增加

试题详情


同步练习册答案