题目列表(包括答案和解析)

 0  210164  210172  210178  210182  210188  210190  210194  210200  210202  210208  210214  210218  210220  210224  210230  210232  210238  210242  210244  210248  210250  210254  210256  210258  210259  210260  210262  210263  210264  210266  210268  210272  210274  210278  210280  210284  210290  210292  210298  210302  210304  210308  210314  210320  210322  210328  210332  210334  210340  210344  210350  210358  447348 

31.(18分)

利用农作物秸秆等纤维质原料生产的乙醇,经加工可制成燃料乙醇。使用燃料乙醇减少了对石油资源的依赖.下图为生产燃料乙醇的简要流程,请据图回答:

     (1)欲从土壤中分离获取,微生物A,应采用具有        功能的培养基。调节pH后的培养基还需尽快进行         处理,方能使用。

     (2)图中①过程需要利用微生物A所产生的        酶对纤维质原料进行水解。可溶解复合物的产量与该酶活性有直接关系,衡量此酶活性的指标可用       表示.

     (3)图中②过程常用的微生物是        ,此时其细胞呼吸类型是      ,细胞呼吸既能为微生物的生长提供物质,还能提供          

     (4)通过图中微生物的分解作用,不仅增加了人类对纤维质原料中能量的利用途径,还促进了生态系统中的物质在                 之间不断地循环往返。

江陵中学理科综合试生物试题(二)   

CDBAB

试题详情

30. (18分)

在植物的生长和组织培养过程中,植物激素具有及其重要的作用。实验人员利用某种植物的愈伤组织做了如下实验。请回答有关问题。

     (1)实验一:将含生长素的琼脂块插入到愈伤组织中,一段时间后出现的现象是

            。某同学由此得出结论:生长素可以促进细胞分化,但此结论不够严谨,还需设计一组          实验加以证明。实验步骤如下:取相同的愈伤组织,

          。若现象是           ,则证明上述结论成立。

     (2)实验二:将丁香幼芽插入到愈伤组织中,实验结果如上图所示。由此推测丁香幼芽可能产生了            。若要确定此物质的化学成分,可直接从丁香幼芽中

           ,再进一步           

     (3)下表是以烟草为实验材料,探究植物激素在愈伤组织分化过程中作用的实验结果。

生长素浓度:细胞分裂素浓度
实验结果
2:0.02
愈伤组织分化出根
2:0.2
愈伤组织生长
2:0.5
愈伤组织分化出芽

     由此结果可以得出的结论是:愈伤组织的分化是        作用的结果,且   

        会影响愈伤组织细胞分化的方向。

试题详情

29.(14分)

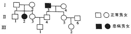
抗胰蛋白酶缺乏症是一种在北美较为常见的单基因遗传病,患者成年后会出现肺气肿及其他疾病,严重者甚至死亡。

(1)   下图为某患者及其家族部分成员系谱图.请据图回答问题:

     根据图中         号个体即可判断该遗传病的致病基因位于      染色体上。若图中III1号个体携带致病基因,则该致病基因可能来源于I代中     号个体,若II6号个体为该基因显性纯合子,III2号个体携带致病基因的概率是        

     (2)对于该病患者通常可采用注射人抗胰蛋白酶来缓解症状。利用转基因技术将控制该酶合成的基因导入羊的受精卵,最终培育出能在乳腺细胞表达人抗胰蛋白酶的转基因羊,从而更易获得这种酶。下图表示获得转基因羊的简要过程。

①获得目的基因后,常利用         技术在体外将其大量扩增。

②载体上绿色荧光蛋白(GFP)基因的作用是便于               。 

③若要使转基因羊的后代均保持其特有的性状,理论上应选用       技术进行繁殖。

试题详情

5. 镰刀形细胞贫血症由基因突变引起,其致病基因为隐性基因(用a表示)。只有隐性纯合子彩绘发病,携带a基因的个体不发病,且对疟疾具有一定的抵抗能力。在非洲某些地区,大约500人中就有20人患镰刀形细胞贫血症。因此在该地区人群中

     A.a基因的基因频率大约为32%左右

     B.a基因频率的变化是环境选择的结果

     C.患者的死亡会导致人群中基因库发生变化

     D.a基因的携带者在自然选择中会逐渐被淘汰

试题详情

4. 右图是动物精子形成过程中某一时刻的模式图,下列说法正确的是

     A.如果分裂3和4不分离,则产生的精细胞中染色体数目均异

     B.若在复制时没有发生任何差错,则该细胞能产生4种类型的

精细胞

     C.若染色体1和2发生部分片段的交换,则减数分裂无法正常

进行

     D.如果基因N发生突变,则该细胞产生的精细胞有一半出现异常

试题详情

3. 在气候条件适宜的情况下,弃耕的农田经过若干年后能演替成森林。在这一演替过程中

     A.群落的优势种未发生明显变化

     B.群落中营养级的数目将逐渐增加

     C.人为因素是引起群落内部变化的根本原因

     D.各种信息沿着食物链中的营养级进行传递

试题详情

2.人体在某种条件改变时,内环境中一些物质的含量会发生相应变化。右图中的曲线可表示

     A.血糖精降低时胰岛素含量的变化

     B.缺碘引起甲状腺激素含量的变化

     C.饮水过多时抗利尿激素含量的变化

     D.再次感染甲流病毒后相关抗体含量的变化

试题详情

1. 为探究CO2浓度对植物光合作用的影响,科学家选择生长在同一环境中的两种植物做了相关实验。在保证其他条件相同且适宜的情况下,测得数据如表。由此可以得出的结论是

CO2浓度(mol·mol-1)
光合速率(molCO2·m-2·s-1)
欧洲蕨
石楠
355
3.74
5.81
539
6.76
15.62

     A.干旱对欧洲蕨光合作用的影响大于石楠

     B.自然界中植物的光合速率会随CO2浓度升高不断增大

     C.CO2浓度升高对石楠光合作用的影响大于欧洲蕨

     D.两种植物光合作用的最适CO2浓度是539mol·mol-1

试题详情

32.(9分)

  (1)A、B、C、D  

  (2)光合作用   ②、③、④  

  (3)y=20ax+5x (解析:在A→D→C食物链中,C增重aX那么至少消耗A为25ax;在A→C食物链中,C增重(1-a)x那么至少消耗A为5(1-a)x;所以25ax+5(1-a)x=y;化简后为y=20ax+5x)  (2分)

  (4)次生演替 (2分)  (5) 捕食和竞争 (2分)

试题详情

31.(8分)

  (1) 0.8-1.2g/L     (2) 拮抗   反馈调节  

  (3)胰岛B细胞    不存在   

  (4) 不能   激素②的化学本质是蛋白质,会被腺泡中分解蛋白质的酶分解。(2分)

试题详情


同步练习册答案