题目列表(包括答案和解析)

 0  25799  25807  25813  25817  25823  25825  25829  25835  25837  25843  25849  25853  25855  25859  25865  25867  25873  25877  25879  25883  25885  25889  25891  25893  25894  25895  25897  25898  25899  25901  25903  25907  25909  25913  25915  25919  25925  25927  25933  25937  25939  25943  25949  25955  25957  25963  25967  25969  25975  25979  25985  25993  447348 

(一)化学与生活

18.下列有关物质用途的说法中,正确的是

① 乙烯可用作催熟果实;② 纤维素可以用于造纸;③ 福尔马林用于浸泡生物标本;

④ CCl4可以用作高效灭火剂

A.只有①②   B.只有③④   C.只有②③④    D.①②③④都正确

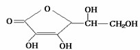
19.维生素C是一种水溶性维生素(其水溶液呈酸性)化学式为C6H8O6,结构如下图所示。人体缺乏这种维生素C易得坏血症,所以维生素C又称抗坏血酸。维生素C易被空气中的氧气氧化。在新鲜的水果、蔬菜、乳制品中都含维生素C,如新鲜的橙汁中维生素C的含量在500mg/L左右。下列关于维生素C的叙述错误的是

A.维生素C能使溴水褪色

B.维生素C可作食品添加剂

C.维生素C可发生酯化反应

D.维生素C在碱性条件下能稳定存在

20.为实现中国2000年消除碘缺乏病的目标,卫生部规定食盐必须加碘,其中碘以KIO3形式存在。已知在溶液中IO3-与I-反应:IO3-+5I-+6H+===3I2+3H2O。根据此反应,可用试纸和一些生活中常用物质进行检验,证明在实验中存在IO3-。进行上述实验时必须使用的物质为(从以下物质中选)①自来水②蓝色石蕊试纸③碘化钾淀粉试纸④淀粉⑤食糖⑥食醋⑦白酒

A、①③   B、③⑥   C、②④⑥   D、①②④⑤⑦

21.生活中处处有化学。请根据你所学过的化学知识,判断下列说法中不正确的是

A.当有人出现水杨酸反应,医生可采取静脉注射0.9%NaHCO3溶液

B.为防止流感传染,可将教室门窗关闭后,用食醋熏蒸,进行消毒

C.食品中的微量元素含量偏高会造成中毒反应,必须严格控制。如:As、Cd、Hg

D.用油料作物生产的生物柴油成分与从石油中提取的柴油成分相同

22.目前,已发现的居室空气污染物达300多种。其中有一种来自人造地板、家具以及装修粘合剂,长期接触低剂量的该物质,可引起过敏性皮炎、免疫功能异常。该污染物是

A.甲醛     B.一氧化碳      C.氡        D.丁烷

23.对于药品的使用和作用下列说法不正确的是              

A.青霉素等抗生素对病原体有抑制和杀灭作用,但在使用之前要进行过敏性实验

B.吗啡、海洛因等虽然有麻醉、止痛、镇静作用,但易上瘾且有害,这类物质属于毒品

C.麻黄碱是国际奥委会严格禁止使用的兴奋剂

D.R表示非处方药,OTC表示处方药

试题详情

17.对下列有机反应类型的认识中,错误的是                  

A. ;取代反应

B.CH2=CH2 + Br2         CH2Br-CH2 Br  ;加成反应 

C.CH4 + Cl2  CH3Cl + HCl ;置换反应

D.                           ;酯化反应

试题详情

16.取等物质的量的镁粉和铝粉混合,再将混合物平均分为四份,分别加入足量的下列溶液中,充分反应后放出氢气最多的是

  A.3mol/L的HCl         B.4mol/L的HNO3 

C.8mol/L的NaOH        D.18mol/L的H2SO4

试题详情

15.下列各组离子中,能在溶液中大量共存的是

A.Ba2+、Cl、Na+、SO42     B.Na+、OH、K+、NO3

C.H+、NO3、K+、Fe2+      D.H+、Cl、K+、ClO-

试题详情

14.已知N2(g)+3H2(g)2NH3(g),现向一密闭容器中充入1molN2和3molH2,在一定条件下使该反应发生。下列有关说法正确的是

A.达到化学平衡状态时,N2将完全转化为NH3

B.达到化学平衡状态时,正反应和逆反应的速率都为零

C.达到化学平衡状态时,N2、H2和NH3的物质的量浓度一定相等

D.达到化学平衡状态时,N2、H2和NH3的物质的量浓度不再变化

试题详情

13.下列叙述不正确的是               

A.原子半径:H<Al<Mg<Na    B.热稳定性:HCl>H2S>PH3>AsH3

C.P、S、Cl元素最高价氧化物对应的水化物酸性依次增强

D.N、O、F元素非金属性依次减弱

试题详情

12.下列说法错误的是                         

A.催化剂可以改变化学反应速率    B.食物放在冰箱中会减慢食物变质的速率

C.2mol SO2与 1mol O2混合一定能生成2mol SO3

D.锌与稀硫酸反应时,加入少量铜粉能加快产生氢气的速率 

试题详情

11.下列化学用语的书写,正确的是

A.氮气的电子式:        B.硫原子的结构示意图:

C.溴化钠的电子式:      D.乙酸的结构式:         

试题详情

10.下列有关物质用途的说法中,正确的是

A.二氧化硅可用来制造半导体材料      B.明矾净水利用了胶体的吸附性 

C.碳酸钠可用于治疗胃酸过多        D.硅可用于制造光导纤维 

试题详情

9.下列关于物质分类的正确组合是

   分类
组合



碱性氧化物
酸性氧化物
A
纯  碱
盐酸
烧碱
氧化铝
二氧化碳
B
烧  碱
硫酸
食盐
氧化镁
一氧化碳
C
苛性钾
醋酸
食盐
氧化铝
二氧化硫
D
苛性钠
硫酸
纯碱
氧化钠
三氧化硫

试题详情


同步练习册答案