题目列表(包括答案和解析)

 0  26180  26188  26194  26198  26204  26206  26210  26216  26218  26224  26230  26234  26236  26240  26246  26248  26254  26258  26260  26264  26266  26270  26272  26274  26275  26276  26278  26279  26280  26282  26284  26288  26290  26294  26296  26300  26306  26308  26314  26318  26320  26324  26330  26336  26338  26344  26348  26350  26356  26360  26366  26374  447348 

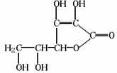
23.维生素C是一种水溶性维生素(其水溶液呈酸性)化学式为C6H8O6, 结构如右图所示。人体缺乏这种维生素C易得坏血症,所以维生素C又称抗坏血酸。维生素C易被空气中的氧气氧化。服用维生素C,可使食物中的Fe3+还原成Fe2+,有利于人体吸收。下列关于维生素C的叙述不正确的是

A.维生素C能使溴水褪色               B.维生素C可作食品添加剂

C.维生素C可发生水解反应              D.维生素C不能发生氧化反应

Ⅱ卷(共31分)

试题详情

22.水对人类的生存具有非常重要的意义,没有水就不可能有生机勃勃的地球,所以保护水资源是人类共同的责任。下列各项能造成水质严重污染的是(   )。

   ①生活污水的任意排放  ②海上油轮的原油泄漏  ③水力发电  ④农药化肥的不合理使用  ⑤使用无磷洗衣粉

A. 只有①②③  B. 只有①②④  C. 只有③⑤  D.只有②③⑤

试题详情

21.材料是人类赖以生存的重要物质基础,而化学是材料科学发展的基础。下列有关材料的说法中正确是

   A.生活中的玻璃、陶瓷、水泥属于无机硅酸盐材料,其生产原料都需要使用石灰石

B.合金材料钢铁里的铁和碳在潮湿的空气中因构成许多原电池而易发生电化学腐蚀

C.居室装修材料如化纤地毯、三合板、花岗岩等均会释放出污染空气的甲醛气体

D.造成“白色污染”的聚氯乙烯塑料在日常生活中可用来进行食品包装

试题详情

20.下列关于药物的使用说法正确的是(  )

A.因碘酒使蛋白质变性,故常用于外用消毒

B.使用青霉素时,直接静脉注射可以不用进行皮肤敏感试验

C.长期大量使用阿司匹林可预防疾病,没有副作用

D.能用于治疗胃酸过多的抗酸药通常含有麻黄碱

试题详情

19.食品疏松剂在受热时会产生气体,使食品内部形成均匀致密的海绵状多孔组织,让食品酥脆、疏松。下列物质可作为食品疏松剂的是       

A.碳酸氢铵     B.碳酸钠    C.氢氧化铝    D.亚硫酸钠

试题详情

18.下列各类食物中蛋白质含量最丰富的是(  )

   

A.     B.     C.     D.

试题详情

17.已知,有机化合物A只由C、H两种元素组成且能使溴水褪色,其产量可以用来衡量一个国家石油化工发展水平。A、B、C、D、E有如下关系:

         

则下列推断不正确的是

A.鉴别A和甲烷可选择使用酸性高锰酸钾溶液

B.D中含有的官能团为羧基,利用D物质可以清除水壶中的水垢

C.物质C的结构简式为CH3CHO,E的名称为乙酸乙酯

   D.B+D→E的化学方程式为:CH3CH2OH+CH3COOH→CH3COOC2H5

试题详情

16.检验溶液中是否含有某种离子,下列操作方法正确的是

A.加入AgNO3溶液,有白色沉淀生成,证明含有Cl-

B.加入BaCl2溶液,产生白色沉淀,证明有SO42-

C.加浓NaOH溶液后加热,产生使润湿的红色石蕊试纸变蓝色的气体,证明有NH4+

D.加入盐酸,放出能使澄清的石灰水变浑浊的气体,证明有CO32-

试题详情

15.下列说法正确的是

A.化学反应中的能量变化,通常只表现为热量的变化

B.要使硫燃烧只需要大量的氧气

C.工业上常使用催化剂改变可逆反应的限度

D.SO2和O2合成SO3的反应中,升温增压,都可以提高反应的速率

试题详情

14.海水淡化可采用膜分离技术。如右下图所示,对淡化膜右侧的海水加压,水分子可以透过淡化膜进入左侧淡水池,而海水中其它各种离子不能通过淡化膜,从而得到淡水。对加压后右侧海水成分变化分析正确的是

A.溶质质量增加        B.溶剂质量减少 

C.溶液质量不变        D.溶质质量分数减少

试题详情


同步练习册答案