题目列表(包括答案和解析)

 0  26277  26285  26291  26295  26301  26303  26307  26313  26315  26321  26327  26331  26333  26337  26343  26345  26351  26355  26357  26361  26363  26367  26369  26371  26372  26373  26375  26376  26377  26379  26381  26385  26387  26391  26393  26397  26403  26405  26411  26415  26417  26421  26427  26433  26435  26441  26445  26447  26453  26457  26463  26471  447348 

18.在一密闭容器中,反应aA(g) bB(g)达平衡后,保持温度不变,将容器体积增加一倍,当达到新的平衡时,B的浓度是原来的60%,则(   )                      

    A  平衡向正反应方向移动了          B  物质A的转化率小了

    C  物质B的质量分数减小了          D  a>b

试题详情

17.相同温度下,c(H+)相同的硫酸、盐酸和醋酸物质的量浓度关系正确的是(   ) 

    A  C(CH3COOH)>C(HCl)>C(H2SO4)     B  C(H2SO4 )>C(HCl )> C(CH3COOH)

    C  C(HCl)>C(H2SO4 )> C(CH3COOH)    D  C(HCl )> C(CH3COOH)> C(H2SO4 )

试题详情

16.25℃时某溶液中由水电离出的c(OH)为1×10-11mol/L,则该溶液的PH可能等于(   )

    ①11   ②8   ③7   ④3

    A  ①④          B  ①②          C  ①③          D  ②③

试题详情

15.pH=13的强碱溶液与pH=2的强酸溶液混合,所得溶液的pH=11,则强碱与强酸的体积比是(   )

A.11∶1   B.9∶1    C.1∶11    D.1∶9.

试题详情

14.在容积相同的A、B两个密闭容器中,分别充入2 mol SO2和1 mol O2,使它们在相同温度下发生反应.2SO2+O2  2SO3,并达到平衡,在反应过程中,若A容器保持体积不变,B容器保持压强不变,当A中的SO2的转化率为25%时,则B容器中SO2的转化率应是                 (   )

A.25%          B.﹥25%    C.﹤25%        D.12.5%

试题详情

13.改变以下反应的条件,能提高反应物活化分子百分率的是①温度②浓度③压强④正催化剂(   )

A.①④     B.②③     C.①②     D.③④

试题详情

12.一定条件下硝酸铵受热分解的未配平化学方程式为.NH4NO3 - HNO3 + N2 + H2O,

在反应中被氧化与被还原的氮原子数之比为                        (   )

A.5∶3     B.5.∶4     C.1∶1              D.3∶5

试题详情

11.在一定条件下,可逆反应 A(g)+ B(g) 2C(g)达到平衡的标志是  (  )

①A、B、C的分子数比为1∶1∶2     ②A、B、C的浓度不再产生变化

③ 单位时间生成n摩尔 A,同时增加2n摩尔 C

④平衡体系中的压强不再发生变化

A.①②    B.①④    C.②③     D.②④

试题详情

10.对可逆反应:A(g) + B(s)  C(s) + D(g);(正反应吸热)。下图所示为正逆反应速率(v)与时间(t)关系的示意图,如果在t1时刻改变以下条件:(   )

 

①加入A;②加入催化剂;③加压;④升温;⑤减少C,符合图示的条件是

 A.②③         B.①②         C.③④         D.④⑤  

试题详情

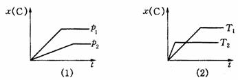
9.下图表示可逆反应mA(g)+nB(g)pC(g)在不同温度(T)、压强(p)下,生成物C的物质的量分数x(C)的变化情况.下列关于该正反应热效应及方程式中A、B、C的化学计量数的判断中,正确的是(   )

 A.吸热反应,m+n<p             B.吸热反应,m+n>p  

 C.放热反应,m+n<p             D.放热反应,m+n>p  

试题详情


同步练习册答案