题目列表(包括答案和解析)

 0  26304  26312  26318  26322  26328  26330  26334  26340  26342  26348  26354  26358  26360  26364  26370  26372  26378  26382  26384  26388  26390  26394  26396  26398  26399  26400  26402  26403  26404  26406  26408  26412  26414  26418  26420  26424  26430  26432  26438  26442  26444  26448  26454  26460  26462  26468  26472  26474  26480  26484  26490  26498  447348 

  A、酒精      B、醋酸      C、尿素       D、乙酸乙酯

2、下列物质中不是有机物的是[   ]

  A、乙酸      B、电石气     C、碳酸钙      D、蔗糖

试题详情

28].有一批PbO和PbO2的混合物样品,用高锰酸钾法测定其含量。称取该样品加入20.00mL 0.2500mol/L草酸溶液(反应①),然后用氨水中和溶液(反应②);

过滤后将滤液酸化,用标准KMnO4溶液滴定(反应③),共用0.04mol/L KMnO4溶液10.00mL;沉淀溶解于酸中再用同浓度的KMnO4标准溶液滴定,用去了30.00mL。

(1)写出上述反应①、②、③的离子方程式;

(2)计算试样中PbO和PbO2的质量分数(摩尔质量:PbO2-239g/mol,PbO-223g/mol)

试题详情

27].恒温恒容下,将2molA气体和2mol B气体通入体积为2L的密闭容器中发生如下反应:2A(g)+B(g)xC(g)+2D(s)。2min时反应达到平衡状态,此时剩余1.2mol B,并测得C的浓度为1.2mol/L。

(1)从开始反应至达到平衡状态,生成C的平均反应速率为      

(2)x=         

(3)A的转化率与B的转化率之比为       

(4)下列各项可作为该反应达到平衡状态的标志的是        (填各项代号)。

A  压强不再变化       B  气体密度不再变化

C  气体平均式量不再变化   D  A的消耗速率与B的消耗速率之比为2︰1

(5)若向原平衡混合物的容器中再充入2molA气体和2molB气体,原原温度下达到新的平衡,此时B的物质的量n(B)      

(6)欲使反应达到平衡时C的物质的量分数与上述平衡相等,起始加入的A、B物质的量n(A)、n(B)之间应满足的关系为             

试题详情

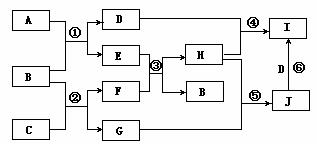
26].A、B、C、D、E、G、H、I、J是中学化学常见的9种化合物(F是单质),A、C是离子化合物,但都存在非极性共价键;E、F、H常温下呈气态,反应①、②、③都是典型的放热反应,反应⑥中还有G生成。其转化关系如下图,据此回答下列问题:

(1)写出C的电子式        

(2)写出反应①的化学反应方程式

                           

(3)列出两种E能发生的反应类型          

(4)反应③常用于          

(5)反应⑥的化学方程式             

(6)写出过量的H与D溶液反应的离子反应方程式                   

试题详情

25].A、B、C、D四种无机物具有如右图所示的转化关系:

回答下列问题:

(1)若以上各反应均为氧化还原反应,且A、B、C均含有同一种元素。则

①若D为非金属单质,请写出检验C的方法:                  

②若D为金属单质,请写出检验B中阳离子的一种方法:             

(2)若以上各反应均为非氧化还原反应。则

①若D为酸或酸性气体,则A、B、C、D分别可以是               

②若D为碱,则A、B、C、D分别可以是                    

(以上均按顺序写出合理的一组物质的化学式即可)

试题详情

24].下表是元素周期表的一部分。

周期
ⅠA
ⅡA
ⅢA
ⅣA
ⅤA
ⅥA
ⅦA
1

 
2



 


 
3
 


 
 


(1)表中元素⑩的氢化物的还原性比元素⑨的氢化物的还原性      (填强或弱);

(2)⑤的单质的电子式为      

画出⑤、⑥氢化物间形成氢键的结构式:

(3)已知某些不同族元素的性质也有一定的相似性,如元素③与元素⑧的氢氧化物有相似的性质。写出元素③的氢氧化物与NaOH溶液反应的化学方程式                

又如表中与元素⑦的性质相似的不同族元素是       (填元素符号)

(4)⑨⑩间可以形成多种化合物,其中以原子个数1︰1形成化合物的化学式是      ;写出其与NaOH溶液反应的最可能化学方程式是                     

(5)两种短期元素组成的常见化合物中,原子个数比为1︰3,若两种元素原子序数分别为a和b,则a和b的关系可能是(填序号)____________

①a=b+5   ②a+b=14   ③a+b=8   ④a=b+8

试题详情

23].用“>”、“<”或“=”填写下列空白。用0.2mol·L1 HA溶液与0.2mol·L1 NaOH溶液等体积混合,测得混合溶液中c(Na+)>c(A),则

(1)混合溶液中c(HA)_______c(A);

(2)混合溶液中c(HA)+c(A)______0.1mol·L1

(3)混合溶液中,由水电离出的c(OH)______0.2mol·L1HA溶液由水电离出的c(H+);

(4)25℃时,如果取0.2mol·L1HA溶液与0.1lmol·L1NaOH溶液等体积混合,测得混合溶液的pH<7,则HA的电离程度______NaA的水解程度。

试题详情

22].现有某黄铜(铜、锌合金)的颗粒状样品约100mg,李洋同学将样品分为两等份,首先用右图所示装置测定黄铜样品中锌的质量分数和锌的相对原于质量。回答下列问题:

(1)加入稀硫酸和黄铜中的锌完全反应,应如何操作?

________________________________________________________;

反应前、后碱式滴定管中的液面高度与干燥管中的液面高度均应保持相同,反应充分进行后,如何使碱式滴定管中的液面高度与干燥管中的液面高度相同?________________________________。

(2)为了保证实验结果的准确,请你将本实验过程中需直接测定的有关物理量填入下表中(用文字说明,不必填满):





 
 
 
 

(3)李洋同学还想改用右图所示装置测定黄铜样品中锌的质量分数和锌的相对原子质量。

①该实验过程中,必须对反应后所剩的固体进行洗涤、干燥,如何确保所得固体是干燥的?_________________________________

②陆老师组织班级同学从该实验装置、中学化学实验室的现有条件两方面,对该实验方案的可行性进行评价,请你参与讨论,并发表你的看法。

试题详情

21].某化学课外兴趣小组为探究铜跟浓硫酸的反应情况,用下图所示装置先进行了有关实验:

(1)B是用来收集实验中产生的气体的装置,但未将导管画全,请直接在原图上把导管补充完整。

(2)实验中他们取6.4g铜片和12mL 18mol/L浓硫酸放在圆底烧瓶中共热,直到反应完毕,最后发现烧瓶中还有铜片剩余,该小组学生根据所学的化学知识认为还有一定量的硫酸剩余。

①请写出铜跟浓硫酸反应的化学方程式:

                        

②为什么有一定量的余酸但未能使铜片完全溶解,你认为原因是            

③下列药品中能够用来证明反应结束后的烧瓶中确有余酸的是______(填写字母编号)。

A  铁粉   B  BaCl2溶液   C  银粉   D  Na2CO3溶液

(3)为定量测定余酸的物质的量浓度,甲、乙两学生进行了如下设计:

①甲学生设计方案是:先测定铜与浓硫酸反应产生SO2的量,再计算余酸的物质的量浓度。他认为测定SO2的量的方法有多种,请问下列实验方案中不可行的是__________(填写字母编号)。

A  将装置A产生的气体缓缓通过预先称量过盛有碱石灰的干燥管,结束反应后再次称量

B  将装置A产生的气体缓缓通入足量酸性KMnO4溶液,再加入足量BaCl2溶液,过滤、洗涤、干燥、称量沉淀

C  用排水法测定装置A产生气体的体积(已折算成标准状况)

D  用排饱和NaHSO3溶液的方法测出装置A产生气体的体积(已折算成标准状况)

②乙学生设计的方案是:在反应后的溶液中加蒸馏水稀释至1000mL,取20mL于锥形瓶中,滴入     (请填出指示剂的名称),用标准氢氧化钠溶液进行滴定(已知:Cu(OH)2开始沉淀的pH约为5),通过测出消耗NaOH溶液的体积来求余酸的物质的量的浓度。

假定反应前后烧瓶中溶液的体积不变,你认为乙学生设计的实验方案能否求得余酸的物质的量的浓度    (填“能”或“否”),其理由是                        

试题详情

20].将质量为w1g的钠、铝混合物投入一定量的水中充分反应,金属没有剩余,共收集到标准状况下的气体V1 L。向溶液中逐滴加入浓度为a mol/L的HCl溶液,过程中有白色沉淀生成后又逐渐溶解,当沉淀恰好消失时所加HCl溶液体积为V2 L。将溶液蒸干灼烧得固体w2g。下列所列关系式中正确的是

A  35.5a V2w2w1       B  23n(Na)+27n(Al)=w1

C  n(Na)+3n(Al)=2V1/22.4    D  a V2=V1/22.4

试题详情


同步练习册答案