题目列表(包括答案和解析)

 0  26396  26404  26410  26414  26420  26422  26426  26432  26434  26440  26446  26450  26452  26456  26462  26464  26470  26474  26476  26480  26482  26486  26488  26490  26491  26492  26494  26495  26496  26498  26500  26504  26506  26510  26512  26516  26522  26524  26530  26534  26536  26540  26546  26552  26554  26560  26564  26566  26572  26576  26582  26590  447348 

19. 与NO3互为等电子体的是( )

A.SO3   B.BF3     C.CH4   D.NO2

试题详情

18.下列说法正确的是

A麦芽糖能与银氨溶液发生银镜反应,且其水解产物也能发生银镜反应  

B聚氯乙烯保鲜膜最适合用来包装蔬菜.水果及熟食

C人造丝属于合成纤维

D新型的聚乙烯醇高吸水性高分子,具有与水生成易挥发物的特性,所以称为尿不湿

试题详情

17.若短周期中的两种元素可以形成原子个数比为2∶3的化合物,则这两种元素的原子序数之差不可能为

  A  1     B  3     C  5        D  6

试题详情

16.能使蛋白质变性的是   (   )

①硫酸钾 ②甲醛 ③氯化钾 ④硝酸汞 ⑤氯化铵 ⑥氢氧化钠

A. ②④⑥     B. ①③⑤     C. ①②③       D. ③④⑤

试题详情

15.下列叙述正确的是(   )

A.    含有共价键的化合物一定是共价化合物

B.气态单质分子中一定含有非极性共价键

C.非金属元素之间构成的化合物都不是离子化合物

D.    离子化合物中一定含有离子键

试题详情

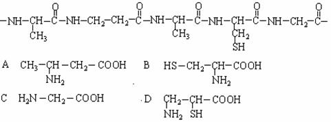
14.当含有下列结构片断的蛋白质在胃中水解时,不可能产生的氨基酸是

试题详情

13.将淀粉和淀粉酶的混合物放人玻璃纸袋中,扎好袋口,浸入流动的温水中经过足够长时间。完全反应后,取袋内液体分别与碘水、新制Cu(OH)2(加热)和浓硝酸(微热)作用,其现象分别是  (   )

A.显蓝色、无现象、显黄色   B.显蓝色、红色沉淀、无现象

C.无现象、变黑色、显黄色   D.无现象、红色沉淀、无现象

试题详情

12.下列说法中错误的是

  A、原子及其离子的核外电子层数等于该元素所在的周期数;

  B、元素周期表中从ⅢB族到ⅡB族10个纵行的元素都是金属元素;

  C、除氦外的稀有气体原子的最外层电子数都是8;

  D、同一元素的各种同位素的物理性质、化学性质均相同

试题详情

11.下列反应过程中,同时有离子键、极性共价键和非极性共价键断裂的反应是

A. NH4ClNH3↑+HCl↑         B.NH3+CO2+H2O=NH4HCO3

C.2NaOH+Cl2=NaCl+NaClO+H2O        D.2Na2O2+2CO2=2Na2CO3+O2

试题详情

10.能够用键能的大小作为主要依据来解释的是:    A 、常温常压下氯气呈气态而溴单质呈液态

B、硝酸是挥发性酸,而硫酸、磷酸是不挥发性酸

C、稀有气体一般难于发生化学反应

D、空气中氮气的化学性质比氧气稳定

试题详情


同步练习册答案