题目列表(包括答案和解析)

 0  26442  26450  26456  26460  26466  26468  26472  26478  26480  26486  26492  26496  26498  26502  26508  26510  26516  26520  26522  26526  26528  26532  26534  26536  26537  26538  26540  26541  26542  26544  26546  26550  26552  26556  26558  26562  26568  26570  26576  26580  26582  26586  26592  26598  26600  26606  26610  26612  26618  26622  26628  26636  447348 

3.常温下,0.1 mol·L1和0.05 mol·L1的CH3COOH溶液的Ka值

试题详情

2.在20℃和80℃时纯水的pH

试题详情

   下列1~3小题中,均隐含着两个数值,试比较两个数值的在大小,用“(A)大于、(B)小于、(C)等于、(D)无法确定”作答。

1.常温下,pH相等的醋酸和盐酸溶液中的c(CH3COO)和c(Cl)

试题详情

21、(10分)某化工厂生产的某产品M只含C、H、O三种元素,其分子模型如下图所示(图中球与球之间的连线代表化学键,如单键、双键等)

(1)该M的结构简式为            

(2)M的某种同分异构体A,可发生下列反应:

写出下列两个反应的化学方程式(有机物用结构简式表示),并指出相应的反应类型。

①A→B               。反应类型:      

②E→F             。反应类型:      

(3)在一定条件下,该产品M跟乙二醇反应可得到分子式为CH10O的物质,该物质发生加聚反应可得到用来制作隐形眼镜的高分子材料,这种高聚物的结构简式为:                

注意:22、23题,在答题卷中。

 
 
 
 
 
 
 
 
 
 
 
 
 
 
 
 
 
 
 
 

 


 
 

 
 
 
 
 

 
 


 

 
 
 
 
 
 
 

 
 
线
 


 
 

 
 
 
 
 
 

 
 


 
 
 
 
 
 
 
 
 
 

试题详情

20.(13分)按照下图所示装置进行有关实验,打开分液漏斗玻璃塞,将A逐滴加入B中。

(1)若A是乙醇,B是生石灰,实验中观察到C中黑色固体逐渐变红。当C中黑色固体大部分变红时,关闭F,然后往烧杯中加入热水,静止一会,观察到III中试管壁出现了光亮的银镜。则C是     ,在反应作    剂(填“氧化”或“还原”),D中球形管的作用      ,写出硬质玻璃管C中所发生的反应方程式    。试管E中所发生反应的离子方程式    

(2)若A是HCOOH,B为浓硫酸,E为苯酚钠溶液,C不变。已知HCOOH与C中黑色固体不能直接反应,但实验中同样能观察到C中黑色固体逐渐变红,同时可观察到试管E中溶液变浑浊,然后往烧杯中加入沸水,则试管E中的现象是    。此实验中浓硫酸的作用是    。写出硬质玻璃管C中所发生的反应方程式     。写出乙醇和⑵题中A这二种物质在浓硫酸存在时所发生的反应方程式      

试题详情

19.(3分)下列有关实验的叙述中,正确的有     :(错选、多选不给分)

A.取蔗糖和稀硫酸共热后的溶液,加入新制氢氧化铜共热,没有砖红色沉淀生成,证明蔗糖尚未水解为葡萄糖;

B.用分液漏斗能将甘油和水的混合液分离;

C.盛过苯酚的试管可以用NaOH溶液清洗,若皮肤上沾有苯酚,应立即用酒精洗涤;

D.在苯酚溶液中滴入少量稀溴水,溶液中立即出现白色沉淀;

E.将铜丝弯成螺旋状,在酒精灯上加热变黑后,立即伸入盛有无水乙醇的试管中,验证乙醇能否被氧化。

F.配制银氨溶液时,将2%氨水慢慢滴入2%硝酸银溶液中,产生沉淀后继续滴加到沉淀刚好溶解为止。

试题详情

18. (8分).邻羟基苯甲酸(俗名水杨酸)其结构简式如右式:

⑴水杨酸既可以看成是_    _类物质,同时也可以看成是     类物质。

⑵将其与      _溶液作用生成物的化学式为C7H5O3Na;

  将其与_          溶液作用生成物的化学式为C7H4O3Na2

⑶比水杨酸多一个CH2原子团,且与水杨酸不属于同系物的取代基数目相同并含有苯环的两类物质的结构简式分别为___________   、 _________  

试题详情

17、下列说法中正确的是                       (   )

   A.糖类是有甜味的物质     

B.糖类组成一定符合通式Cm(H2O)n

   C.符合通式Cm(H2O)n的一定是糖

   D.糖类按结构而言一般是多羟基醛(酮),以及能水解生成它们的物质

第Ⅱ卷  非选择题(共49分)

试题详情

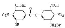
16、已知卤代烃在碱性条件下易水解。某有机物的结构简式如图:(   )

   则下列说法正确的是                     

20070319
 
  A.1mol该有机物与足量的NaOH溶液混合共热,充分反应最多可消耗6 mol NaOH

  B.向该有机物溶液中加入FeCl3溶液,振荡后有紫色沉淀产生

  C.该有机物能发生消去反应

  D.该有机物在稀硫酸中加热水解,有机产物只有一种

试题详情

15、 甲醛、乙酸和丙醛组成的混合物中,氧元素的质量分数是37%,则碳元素的质量分数为(   )

  A、 27%     B、28%     C、 54%     D、 无法计算

试题详情


同步练习册答案