题目列表(包括答案和解析)

 0  26524  26532  26538  26542  26548  26550  26554  26560  26562  26568  26574  26578  26580  26584  26590  26592  26598  26602  26604  26608  26610  26614  26616  26618  26619  26620  26622  26623  26624  26626  26628  26632  26634  26638  26640  26644  26650  26652  26658  26662  26664  26668  26674  26680  26682  26688  26692  26694  26700  26704  26710  26718  447348 

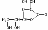
28、维生素C是一种水溶性维生素其水溶液呈酸性化学式为C6H8O6,结构如下图所示。人体缺乏这种维生素C易得坏血症,所以维生素C又称抗坏血酸。维生素C易被空气中的氧气氧化。在新鲜的水果、蔬菜、乳制品中都含维生素C,如新鲜的橙汁中维生素C的含量在500mg/L左右。下列关于维生素C的叙述错误的是

A. 维生素C能使溴水褪色

B. 维生素C可作食品添加剂

C. 维生素C可发生水解反应

D. 维生素C不能发生氧化反应

试题详情

27、缺铁会引起下列哪些症状

A. 侏儒症       B. 骨质疏松症     C. 甲亢           D. 贫血

试题详情

26、坏血病患者应该多吃的食物是

A. 水果和蔬菜  B. 鱼肉和猪肉     C. 鸡蛋和鸭蛋     D. 糙米和肝脏

试题详情

25、 钙是人体必需的常量元素,成年人每天需要800毫克的钙,下列补钙的途径不正确的是

A. 经常晒太阳                      B. 经常饮用钙离子含量高的硬水

C. 经常饮用牛奶、豆奶              D. 大量补充维生素D

试题详情

24、天然皮革属于:

A 纤维制品  B 脂肪类物质  C 合成高分子制品  D 变性的蛋白质

试题详情

23、氯化钡剧毒,致死量为0.3g,万一不慎误服,应服大量鸡蛋清,然后最好加一定量的下列哪种解毒剂:

 A  AgNO3   B  CuSO4    C  Na2CO3    D  MgSO4

试题详情

22、下列关于蛋白质的叙述,正确的是:

A.鸡蛋黄的主要成分是蛋白质

B.鸡蛋生食营养价值更高

C.鸡蛋白遇碘变蓝色

D.蛋白质水解最终产物是氨基酸

试题详情

21、下列食用物质中,热值最高的是:

A.酒精   B.葡萄糖    C.油脂    D.蛋白质

试题详情

20、下列实验中没有颜色变化的是

A.葡萄糖溶液与新制的Cu(OH)2浊液混合加热

B.鸡蛋清中加入浓硝酸

C.淀粉溶液中加入碘酒

D.淀粉溶液中加入稀硫酸

试题详情

19、加酶洗衣粉是在洗衣粉中加入能使蛋白质水解的碱性蛋白酶。为了不降低它的活性,洗衣服时使用的水的最佳温度是:

A.0 – 10℃  B.15– 25℃  C.35– 45℃  D. 55– 65℃

试题详情


同步练习册答案