题目列表(包括答案和解析)

 0  29155  29163  29169  29173  29179  29181  29185  29191  29193  29199  29205  29209  29211  29215  29221  29223  29229  29233  29235  29239  29241  29245  29247  29249  29250  29251  29253  29254  29255  29257  29259  29263  29265  29269  29271  29275  29281  29283  29289  29293  29295  29299  29305  29311  29313  29319  29323  29325  29331  29335  29341  29349  447348 

5、把铁放入盛有盐酸的试管中,不影响氢气产生速率的是(   )

A.盐酸的浓度    B.用铁粉代替铁片    C.增大压强   D.溶液的温度

试题详情

4、下列装置中四块相同的Zn片,放置一段时间后腐蚀速率由慢到快的顺序是(   )

A.(1)(3)(2)(4)   B.(4)(2)(1)(3)    C.(3)(2)(1)(4)   D.(4)(1)(2)(3)

试题详情

3、设C+CO22CO  △H>0反应速率为 u1,N2+3H22NH3  △H<0反应速率为 u2,对于上述反应,当温度升高时,u1u2的变化情况为(   )

A.同时增大    B.同时减小    C.增大,减小    D.减小,增大

试题详情

2、N2 +3 H2 === 2NH3 反应达到平衡时,下列说法中正确的是(   )

A.N2和H2不再化合了       B.N2 H2、NH3的浓度相等

C.N2、H2、NH3的浓度保持不变   D.N2、H2、NH3的浓度比为1:3:2

试题详情

1、对于任何一个平衡体系,采用以下措施,一定会使平衡移动的是(   )

A.加入一种反应物   B.升高温度  C.对平衡体系增加压强  D.使用催化剂

试题详情

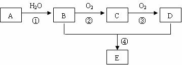
12.(18分)已知A 是一种分子量为28的气态烃,现以A为主要原料合成一种具有果香味的物质E,其合成路线如下图所示。

请回答下列问题:

(1)写出A的结构简式                  

(2)B、D分子中的官能团名称分别是                

(3)写出下列反应的化学方程式:

反应①:                          ;反应类型:    

反应③:                          ;反应类型:      

反应④:                          ;反应类型:    

广东省南海一中09-10学年高二上学期期中考试

试题详情

11.(12分)空气吹出法工艺,是目前“海水提溴”的最主要方法之一。其工艺流程如下:

(1)溴在周期表中位于     周期     族。

(2)步骤①中用硫酸酸化可提高Cl2的利用率,理由是                

(3)步骤④利用了SO2的还原性,反应的离子方程式为                

(4)步骤⑥的蒸馏过程中,温度应控制在80-90℃。温度过高或过低都不利于生产 ,

请解释原因:                                   

(5)步骤⑧中溴蒸气冷凝后得到液溴与溴水的混合物,可利用它们的相对密度相差很大的特点进行分离。分离仪器的名称是           

(6)步骤①、②之后并未直接用“含Br2的海水”进行蒸馏得到液溴,而是经过“空气吹出”、“SO2吸收”、“氯化”后再蒸馏,这样操作的意义是               

试题详情

10. (20分)(1)浓硫酸与木炭粉在加热条件下反应的化学方程式是:

                                             

 (2)试用下图所列各装置设计一个实验,来验证上述反应所产生的各种产物。

这些装置的连接顺序(按产物气流从左至右的方向)是(填装置的编号):

                         

(3)实验时可观察到装置①中A瓶的溶液褪色,C瓶的溶液不褪色。A瓶溶液的作用是         ,B瓶溶液的作用是         ,C瓶溶液的作用是        

(4)装置②中所加固体药品是           ,可验证的产物是          

确定装置②在整套装置中位置的理由是                                     

(5)装置③中所盛溶液是         ,可验证的产物是            

试题详情

9.填空题:(14分)

(1)(6分)科学家在研究化学物质时,常对物质进行分类,以便对同类物质组成和性能进行探入的研究。下列各组物质中有一种物质与其它物质不属于同一类,请将其挑出来。

物质组
不属于同类的物质
(1)Mg、O2、I2、NO
 
(2)NaOH、Na2CO3、CH4、CaO
 
(3)HClO、H2SO4、NH3·H2O、H2SiO3
 
(4)CO、SO2、CO2、SO3
 
(5)Ca(HCO3)2、Na2CO3、AgNO3、BaSO4
 
(6)水、液氯、氨水、水银
 

(2)(8分)洪灾过后,饮用水的消毒杀菌成为抑制大规模传染性疾病爆发的有效方法之一。

漂白粉是常用的消毒剂。

① 工业上将氯气通入石灰乳[Ca(OH)2]制取漂白粉,化学反应方程式为:

                                     

② 漂白粉的有效成分是(填化学式)                 

③ 漂白粉溶于水后,受空气中的CO2作用,即产生有漂白、杀菌作用的次氯酸,

化学反应方程式为:                                

④ 反应①和反应③中,属于氧化还原反应的是(填编号)         

试题详情

8.将Na2O2投入FeCl3溶液中, 可观察到的现象是

A.生成白色沉淀       B.生成红褐色沉淀    

C.有气泡产生        D.无变化

非选择题(共64分)

试题详情


同步练习册答案