题目列表(包括答案和解析)

 0  30098  30106  30112  30116  30122  30124  30128  30134  30136  30142  30148  30152  30154  30158  30164  30166  30172  30176  30178  30182  30184  30188  30190  30192  30193  30194  30196  30197  30198  30200  30202  30206  30208  30212  30214  30218  30224  30226  30232  30236  30238  30242  30248  30254  30256  30262  30266  30268  30274  30278  30284  30292  447348 

2.下列每组中各有三对物质, 它们都能用分液漏斗分离的是                  

A.乙酸乙酯和水,酒精和水,苯酚和水   

B.二溴乙烷和水,溴苯和水,硝基苯和水

C.乙醇和水,乙醛和水,乙酸和乙醇     

D. 油酸和水,甲苯和水,己烷和水杨酸

试题详情

1.今年,一些城市决定全面推广使用乙醇汽油作为发动机燃料,即在汽油中掺入一定比例的乙醇,以代替一部分汽油。下列有关说法正确的是

A.乙醇汽油是一种清洁能源,燃烧不会产生污染

B.乙醇和汽油都可作溶剂,也都可与水互溶

C.乙醇汽油燃烧时,耗氧量高于等质量的汽油

D.乙醇可通过纤维素转化制得,是一种可再生的燃料

试题详情

26.

东北育才学校09-10学年高二下学期第一次月考

试题详情

25.

(1) B__________________、D__________________。

(2) ____    _____。(填数字代号)

(3)                                

   (4)                               

试题详情

(二)按要求写出下列化学方程式:(请注明反应条件)

(1) 甲苯 →TNT

                              

(2) 丙烯 → 聚丙烯

                                

(3) 实验室制备乙烯

                              

(4) CaC2→乙炔

                              

20. _______________________   _______        _______________。

21. ______________。

22.

(1)分子式为     ,其二氯取代产物有   

(2)说法错误的是:      

(3)                            

23.(1)  Y的结构简式                          

(2)                                  

  (3)      种。

24.(1)               

   (2)                   

试题详情

19.(一)

(1) _____________________________________________

(2) _  ____________              

(3)     __________   _______       

(4)     __________   _______       

(5)     __________   _______       

试题详情

26.室温时,将20mL某气态烃与过量的氧气混合,充分燃烧后冷却至室温,发现混合气体的体积减少60mL,将所得混合气体通过苛性钠溶液后,体积又减少80mL。

(1)通过计算确定气态烃分子式

(2)若该烃能使溴水和高锰酸钾褪色,且该烃与H2加成后的产物有三个甲基,请写出该烃的结构简式。又知该烃在一定的温度、压强和催化剂的作用下,生成一种高聚物,写出其方程式

答题区

试题详情

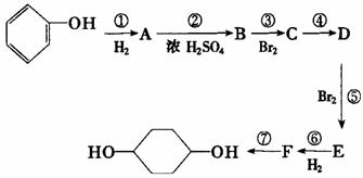
25.已知:(X代表卤素原子,R代表烃基)

利用上述信息,按以下步骤从合成。(部分试剂和反应条件已略去)

请回答下列问题:

(1)分别写出B、D的结构简式:B_________、D_________。

(2)反应①-⑦中属于消去反应的是____    _____。(填数字代号)

(3)如果不考虑⑥、⑦反应,对于反应⑤,得到的E可能的结构简式为:_________   

(4)试写出CD反应的化学方程式(有机物写结构简式,并注明反应条件)

                                  

试题详情

(二)按要求写出下列化学方程式:(请注明反应条件)

(1) 甲苯 →TNT

                              

(2) 丙烯 → 聚丙烯

                              

(3) 实验室制备乙烯

                              

(4) CaC2→乙炔

                              

20.甲烷在氯气中燃烧,可看到集气瓶内壁有黑色固体颗粒生成,瓶口产生大量白雾,根据以上现象分析,上述反应的化学反应方程式为_______________________________。

21.某甲烷和氢气的混合气体共a L,完全燃烧需要的氧气的体积也为a L,则原混合气体中,甲烷和氢气的体积比为______________。

22. 乙炔是一种重要的有机化工原料,以乙炔为原料在不同的反应条件下可以转化成以下化合物。完成下列各题:

(1)正四面体烷的分子式为     ,其二氯取代产物有   

(2)关于乙烯基乙炔分子的说法错误的是:      

a.能使酸性KMnO4溶液褪色

b.1摩尔乙烯基乙炔能与3摩尔Br2发生加成反应

c.乙烯基乙炔分子内含有两种官能团

d.等质量的乙炔与乙烯基乙炔完全燃烧时的耗氧量不相同

(3)写出与苯互为同系物且一氯代物只有两种的物质的结构简式(举两例):

                             

23.有机物的结构可用“键线式”简化表示。CH3-CH=CH-CH3可简写为    。

 

有机物X的键线式为:

(1)有机物Y是X的同分异构体,且属于芳香烃,写出Y的结构简式。                              

(2)Y与乙烯在一定条件下发生等物质的量聚合反应,写出其反应的化学方程式:

                                      

(3)X与足量的H2在一定条件下反应可生成环状的饱和烃Z,Z的一氯代物有     种。

24.1mol某烃A和1 mol苯完全燃烧,烃A比苯多消耗1mol O2,若A分子结构中无支链或侧链 ,则:(1)若A为环状化合物,它能与等物质的量的Br2发生加成反应,则A的结构简式为               

(2)若A为链状烯烃,1mol A最多可和2mol Br2发生加成反应且A与等物质的量的Br2加成后的可能产物只有2种,则A的结构简式为                   

试题详情

19.(一)写出下列有机物的系统命名或结构简式:

(1)CH3-CH - C=CH-CH3

     C25 C2H    ______________________________

(2)CH3-CH-C(CH3)3      

     C2H5                          

(3)CH3CH(CH3)C(CH3)2(CH2)2CH3                

(4)   2,5-二甲基-4-乙基庚烷             (5)  2-甲基-2-戊烯

 __________________________________________             ______________________________________

试题详情


同步练习册答案