题目列表(包括答案和解析)

 0  30091  30099  30105  30109  30115  30117  30121  30127  30129  30135  30141  30145  30147  30151  30157  30159  30165  30169  30171  30175  30177  30181  30183  30185  30186  30187  30189  30190  30191  30193  30195  30199  30201  30205  30207  30211  30217  30219  30225  30229  30231  30235  30241  30247  30249  30255  30259  30261  30267  30271  30277  30285  447348 

5、下列通式只表示一类物质的是:

   A、CnH2n+2   B、CnH2n    C、CnH2n-2   D、CnH2n-6

试题详情

4.某有机物在氧气中充分燃烧,生成等物质的量的水和二氧化碳,则该有机物必须满足的条件是 

A. 分子中的C、H、O的个数比为1:2:3

B. 分子中C、H个数比为1:2

C. 该有机物的相对分子质量为14   

D. 该分子中肯定不含氧元素

试题详情

3、能用酸性高锰酸钾溶液鉴别的一组物质是  

 A.乙烯、乙炔         B.苯、己烷

C.苯、甲苯          D.己烷、环己烷

试题详情

2、下列各类烃中,碳氢两元素的质量比为定值的是

 A.烷烃            B.环烷烃

 C.二烯烃           D.苯的同系物

试题详情

1.据报道1991-1996年人类发现和创制的化合物已有1000多万种,这正好相当于到1990年以前人类在1000多年来已知物质的总量;此外,关于物质的信息量也剧增。请你推断:新发现和新创制的物质主要是

(A)放射性同位素          (B)无机物

(C)有机化合物           (D)烃类物质

试题详情

23(9分).2 mol某有机物在充有0.4 mol O2的密闭容器中燃烧,产物为由CO2、CO和H2O(g)组成的混合物。该混合物经过浓硫酸后,浓硫酸增重10.8 g,再通过灼热的CuO充分反应后,使CuO失重3.2 g,最后通过碱石灰,碱石灰增重17.6 g,该有机物的红外光谱显示分子中有C—O存在,在核磁共振氢谱上观察到氢原子有两个峰且面积比为1:2。请通过计算,推断该有机物的分子式及结构简式。

试题详情

1.    (1)化学式为C3H6O2的物质在PMR谱上观察到下列两种情况下氢原子给出的信号峰:第一种情况出现两个信号峰,强度为3:3,第二种情况出现四个信号峰,强度为2:2:1:1,由此可推断对应于这两种情况该有机物质结构式可能为:           ,          

(2)测定CH3CH=CHCl时:能得到氢原子给出的信号峰6种:由此可推断该有机物一定存在    种不同的结构为:                          

21(10分)法测定有机物的分子式,可在燃烧室内将有机物样品与纯氧在电炉加热下充分燃烧,根据产品的的质量确定有机物的组成。下图所示的是用燃烧法确定有机物物分子式的常用装置

(1)现准确称取0.44 g样品(只含C、H、O三种元素中的两种或三种),经燃烧后A管增重0.88 g,B管增重0.36g。请回答:(1)按上述所给的测量信息,装置的连接顺序应是

D         F             

(2)A、B管内均盛有有固态试剂,A管的作用是______________________;

(3)E中应盛装什么试剂:_______________;

(4)如果把CuO网去掉,A管重量将_______;(填“增大”、“减小”、或“不变”)

(5)请改进这套装置的一个不足之处             

(6)该有机物的实验式为__________________;

(7)要确定该有机物的分子式,还必须知道的数据是___________。

① 消耗液体E的质量   ②样品的摩尔质量  

 ③ CuO固体减少的质量   ④ C装置增加的质量  

 ⑤ 燃烧消耗O的物质的量

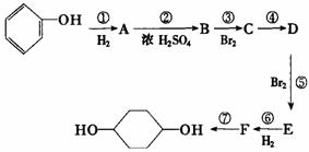
22已知:(X代表卤素原子,R代表烃基)

利用上述信息,按以下步骤从合成。(部分试剂和反应条件已略去)

请回答下列问题:

(1)分别写出B、D的结构简式:B_________、D_________。

(2)反应①-⑦中属于消去反应的是          。(填数字代号)

(3)如果不考虑⑥、⑦反应,对于反应⑤,得到的E可能的结构简式为:

 

                                

(4)试写出CD反应的化学方程式(有机物写结构简式,并注明反应条件)

                                  

试题详情

18.(5分)下图是维生素A的分子结构

(1)维生素A中的含氧官能团是     

维生素A的分子式是      

(2)1mol维生素A最多能与       mol溴反应。

(3)试指出维生素A可能发生的化学反应       (任写两种即可)。

19分)某有机物A能与NaOH溶液反应,其分子中含有苯环,相对分子质量为136其中含碳的质量分数为70.6 %,氢的质量分数为5.9 %,其余为氧。

(1)、A的分子式是______   ___

(2)、若A能与NaHCO3溶液反应放出CO2气体,其结构有    种。

(3)、若A与NaOH溶液在加热时才能反应,且1molA消耗1molNaOH,则的结构简式可能是            

20(9分)质子核磁共振谱(PMR)是研究有机物结构的重要方法之一。在研究的化合物分子中:所处环境完全相同的氢原子在PMR谱中出现同一种信号峰:如(CH3)2CHCH2CH3在PMR谱中有四种信号峰。又如CH3-CBr=CHX存在着如下的两种不同空间结构:

因此CH3-CBr=CHX的PMR谱上会出现氢原子的四种不同信号峰。

请填写下列空白:

试题详情

17.(5分)写出下列有机物的系统命名或结构简式:

(1)CH3- CH - C=CH-CH3

     C2H5­  C2H    _____________________

(2)CH3-CH-C(CH3)3      

     C2H5                   

(3)CH3CH(CH3)C(CH3)2(CH2)2CH3              

(4)2,5-二甲基-4-乙基庚烷                             

(5)2-甲基-2-戊烯                    

试题详情

16.一种气态烷烃和气态烯烃组成的混合物共10g,混合气体的密度是相同状况下H2密度的12.5倍,该混合气体通过装有溴水的试剂瓶时,试剂瓶总质量增加8.4g,该混合气体是                (   )

A.乙烯和乙烷   B.丙烯和乙烷   C.丙烯和甲烷   D.甲烷和乙烯

永丰三中2009-2010学年度学期第一次月考

        高二化学答题纸         座位号

试题详情


同步练习册答案