题目列表(包括答案和解析)

 0  39031  39039  39045  39049  39055  39057  39061  39067  39069  39075  39081  39085  39087  39091  39097  39099  39105  39109  39111  39115  39117  39121  39123  39125  39126  39127  39129  39130  39131  39133  39135  39139  39141  39145  39147  39151  39157  39159  39165  39169  39171  39175  39181  39187  39189  39195  39199  39201  39207  39211  39217  39225  447348 

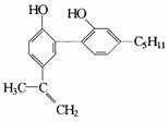
13.我国支持“人文奥运”的一个重要体现是坚决反对运动员服用兴奋剂。某种兴奋剂的结构简式为:       有关该物质的说法不正确的是(   )

A.遇FeCl3溶液显紫色,因为该物质与苯酚属于同一类物质。

B.滴入KMnO4(H+)溶液, 观察到紫色退去,可证明结构中存在碳碳双键。

C.1mol该物质与浓溴水和H2反应时最多消耗Br2和H2分别为4mol、7mol

D.该分子的所有碳原子不可能共平面。

试题详情

12.下列离子方程式正确的是(   )

A.等物质的量的硫酸氢钠溶液跟氢氧化钡溶液混合:

   

B.标准状况下将112mL氯气通入10mL1moL·L-1的溴化亚铁溶液中:

 

C.用NaOH吸收少量

D.向碳酸氢镁溶液中加入过量的澄清石灰水:

试题详情

11.已知某溶液中存在较多的H+、SO42-、NO3-,则该溶液中还可能大量存在的离子组是(   )

A.    B.

C.       D.

试题详情

10.用NA表示阿伏加德罗常数,下列说法正确的是(   )

A.每升硫酸溶液里含有10-2NA个H+,该硫酸溶液的pH为2

B.呈中性的稀溶液1L里含有10-7NA个H+

C.NA个NH4+有10mol质子

D.标况下VL水中含有的氧原子个数为VNA/22.4

试题详情

9.下列关于浓硫酸的叙述正确的是   (   )

A.浓硫酸具有吸水性,因而能使蔗糖炭化

B.浓硫酸在常温下可迅速与铜片反应放出二氧化硫气体

C.浓硫酸是一种干燥剂,能够干燥氨气、氢气等气体

D.浓硫酸在常温下能够使铁、铝等金属钝化

试题详情

8.下列实验操作正确的是(   )

A.将氢氧化钠固体放在滤纸上称量

B.用10mL量筒量取8.58mL蒸馏水

C.制取氯气时,用二氧化锰与浓盐酸在常温下反应,并用排水集气法收集

D.配制氯化铁溶液时,将一定量氯化铁溶解在较浓的盐酸中,再用水稀释到所需浓度

试题详情

7.烧过莱的铁锅未及时洗涤(残液中含NaCl等),第二天便出现红棕色锈斑[Fe(OH)3失水的产物]。下列反应,表示整个过程可能发生的变化,其中不符合事实的是(   )

A.2H20+O2+4e-=4OH-

B.Fe=Fe3++3e-

  C.Fe2++20H-=Fe(OH)2

  D.4Fe(OH)2+02+2H20=4Fe(OH)3

试题详情

6.x、Y是元素周期表ⅦA族中的两种元素。下列叙述中能说明X的非金属性比Y强的是(   )

A.X原子的电子层数比Y原子的电子层数多

B.X的气态氢化物比Y的气态氢化物稳定

C.X的氢化物的沸点比Y的氢化物的沸点低

D.Y的单质能和NaX的溶液反应生成X的单质

试题详情

5.下列各组物质,限用一种试剂,不可能鉴别出来的是   (   )

A.FeS、CuO、MnO2三种固体

B.NaHCO3、KN03、   OH三种溶液

C.苯、己烯、甲苯三种液体

D.NH4Cl、MgCl2、Na2C03三种溶液

试题详情

4.氯仿(CHCl3)可用作麻醉剂,常因保存不慎被空气氧化而产生剧毒物COCl2(光气)和氯化氢,为了防止事故发生,在使用前要检查氯仿是否变质,应选用的检查试剂是(   )

A.NaOH溶液         B.AgNO3溶液

C.BaCl2溶液        D.KI溶液

试题详情


同步练习册答案