题目列表(包括答案和解析)

 0  61304  61312  61318  61322  61328  61330  61334  61340  61342  61348  61354  61358  61360  61364  61370  61372  61378  61382  61384  61388  61390  61394  61396  61398  61399  61400  61402  61403  61404  61406  61408  61412  61414  61418  61420  61424  61430  61432  61438  61442  61444  61448  61454  61460  61462  61468  61472  61474  61480  61484  61490  61498  447348 

12、甲、乙两人同时从相距100千米的两地出发,相向而行。甲每小时走6千米,乙每小时走4千米。甲带了一只狗与他同时出发,狗以每小时10千米的速度向乙奔去,遇到乙即回头向甲奔去,遇到甲又回头向乙奔去,直到甲、乙两人相遇时狗才停住,这只狗共奔跑__________千米路。

试题详情

11、在△ABC中,AB=AC,∠BAC>90°,在BC所在的直线上取一点D,使△ABD为等腰三角形,这样的点(点C除外)共有__________个。

试题详情

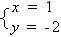
10、请你写出一个解为的二元一次方程组      

试题详情

9、若不等式组的解集是xa,则a的取值范围是(   )。

A、 a<3  B、 a=3  C、 a>3  D、 a≥3

试题详情

8、如图,等腰三角形ABC中,AB=AC,一腰上的高与另一腰所夹角的度数是30°,则∠A= (   )。

A、120°  B、60°     C、90°  D、60°  或 120°   

试题详情

7、下列能铺满地面的正多边形组合是(   )。            

A、正十边形和正五边形   B、正五边形和正六边形     

C、正方形和正六边形    D、正方形和正八边形

试题详情

6、下列说法中正确的是(    )。

①   角平分线上任意一点到角的两边的线段长相等

②   角是轴对称图形      ③线段不是轴对称图形

④   线段垂直平分线上的点到这条线段两个端点的距离相等

A、①②③④    B、①②③     C、②④     D、②③④

试题详情

5、下列说法中,错误的是(   )。

A、是方程的一个解;

B、方程可化为

C、不是二元一次方程;

D、一个多边形的内角中至多有3个锐角;

试题详情

4、 三角形纸片ABC中,∠A=75°, ∠B=65°,将纸片的一角折叠,使点C落在△ABC内(如图),若∠1=25°,则∠2等于(  )。

A、75°    B、65°    C、55°    D、45°

试题详情

3、现有长度为2cm、3cm、4cm、5cm的木棒,从中任取三根,能组成三角形的个数为(   )。

A、1        B、2        C、3          D、4

试题详情


同步练习册答案