题目列表(包括答案和解析)

 0  63635  63643  63649  63653  63659  63661  63665  63671  63673  63679  63685  63689  63691  63695  63701  63703  63709  63713  63715  63719  63721  63725  63727  63729  63730  63731  63733  63734  63735  63737  63739  63743  63745  63749  63751  63755  63761  63763  63769  63773  63775  63779  63785  63791  63793  63799  63803  63805  63811  63815  63821  63829  447348 

6、已知,如图,在△ ABC中,AD,AE分别是 △ ABC的高和角平分线,若∠B=30°,

∠C=50°求:(1),求∠DAE的度数。

A
 
C
 
D
 
B
 
(2) 试写出 ∠DAE与 ∠C - ∠B有何关系?(不必证明)      

E
 
 

试题详情

5、计算:- -|+2|+

试题详情

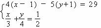
3、解方程组   4、解不等式组等式组

试题详情

2、如图所示,请填写下列证明中的推理依据.              

证明:∵∠A=∠C(已知),

∴AB∥CD(_____________    ______)     

∴∠ABO=∠CDO(_________________________)           

又∵DF平分∠CDO,BE平分∠ABO(已知)              

∴∠1=∠CDO,∠2=∠ABO(_________________________)

∴∠1=∠2,∴DF∥BE(_____________________________________________)

试题详情

1、用计算器探索:  ①_________ ;②__________;  ③_____________;由此猜想:     

试题详情

11、下列等式中,错误的是(   )

  A、    B、   C、   D、

试题详情

10、某班举办了一次集邮展览,展出的邮票若每人3张,则多24张,若每人4张,则少26张,这个班共展出邮票张数是:

  A、174     B、178     C、168     D、164

试题详情

9、不等式的解为,则的取值范围是(   )

A、    B、    C 、    D、

试题详情

8、三角形的三边的长度分别是3cm,  x cm和7cm,则x的取值范围是(     )

A.    B.4<x<10    C.4>x<10   D.

试题详情

7、一个正方形在平面直角坐标系中三个顶点的坐标为(-2,-3),(-2,1),(2,1),则第四个顶点的坐标为(   )

  A、(2,2)     B、(3,2)     C、(2,-3)     D、(2,3)

试题详情


同步练习册答案