题目列表(包括答案和解析)

 0  63681  63689  63695  63699  63705  63707  63711  63717  63719  63725  63731  63735  63737  63741  63747  63749  63755  63759  63761  63765  63767  63771  63773  63775  63776  63777  63779  63780  63781  63783  63785  63789  63791  63795  63797  63801  63807  63809  63815  63819  63821  63825  63831  63837  63839  63845  63849  63851  63857  63861  63867  63875  447348 

11、计算:=____,=____,=______,=_____,=____,猜测:=________;当a<3时,则=_______________。

试题详情

10、某建筑工地急需长12cm和17cm两种规格的金属线材,现工地上只有长为100cm的金属线材,要把一根这种金属线材截成12cm和17cm的线材各       根时,才能最大限度地利用这种金属线材.

试题详情

9、三角形的两边的长分别为2cm和7cm,若第三边的长为奇数,则三角形的周长是     .

试题详情

8、已知a、b、c是三角形的三边长,化简:|a-b+c|+|a-b-c|=_____________。

试题详情

7、如图,将一副三角板叠放在一起,使直角的顶点重合于O,

则∠AOC+∠DOB=____________

试题详情

6、不等式组的所有整数解是         

试题详情

5、如图ABC中,AD是BC上的中线,BE是ABD中AD边上的中线,若ABC的面积是24,则ABE的面积是________。

试题详情

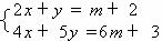
4、若方程组的解x、y都是正数,

则m的取值范围是________________。

试题详情

3、已知点P与点Q关于轴对称,则a+b=__________。

试题详情

2、已知△ABC为等腰三角形,当它的两个边长分别为8 cm和3 cm时,它的周长为_____________。

试题详情


同步练习册答案