题目列表(包括答案和解析)

 0  64350  64358  64364  64368  64374  64376  64380  64386  64388  64394  64400  64404  64406  64410  64416  64418  64424  64428  64430  64434  64436  64440  64442  64444  64445  64446  64448  64449  64450  64452  64454  64458  64460  64464  64466  64470  64476  64478  64484  64488  64490  64494  64500  64506  64508  64514  64518  64520  64526  64530  64536  64544  447348 

22.(6分)小明准备了30元钱买罐头鱼和矿泉水。已知买一盒罐头鱼需要8元,买一瓶矿泉水需要1.5元,他买了3盒罐头鱼以后,还可能买多少瓶矿泉水?

试题详情

21. x为何值时,代数式的值比代数式的值大.

试题详情

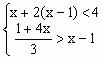
 19           20.

试题详情

17.                18.

试题详情

16.关于x的方程的解是非负数,那么a满足的条件是    (   )

 A.      B.     C.    D.

试题详情

15. 解下列不等式组,结果正确的是                 (   )

A. 不等式组的解集是  B. 不等式组的解集是 

C. 不等式组的解集是 D. 不等式组的解集是

试题详情

14.如图1,在数轴上所表示的是哪一个不等式的解集         (   )

 

 A.    B.   

 C.    D.

试题详情

13.一元一次不等式组的解集是            (   )

 A.   B.   C.     D.

试题详情

12.不等式的解集是                   (   )

 A.    B.    C.    D.

试题详情

11.下列不等式中,是一元一次不等式的是             (   )

 A.   B.   C.    D.

试题详情


同步练习册答案