题目列表(包括答案和解析)

 0  66608  66616  66622  66626  66632  66634  66638  66644  66646  66652  66658  66662  66664  66668  66674  66676  66682  66686  66688  66692  66694  66698  66700  66702  66703  66704  66706  66707  66708  66710  66712  66716  66718  66722  66724  66728  66734  66736  66742  66746  66748  66752  66758  66764  66766  66772  66776  66778  66784  66788  66794  66802  447348 

17、用代入法解

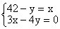
18加减法解     

试题详情

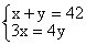
16、用代入法解          

试题详情

14、下列说法正确的            [ ] A.二元一次方程2x+3y=17的正整数解有2组      15、某校运动员分组训练,若每组7人,余3人;若每组8人,则缺5人;设运动员人数为x人,组数为y组,则列方程组为            [  ]

A、  B、  C、    D、

试题详情

12、在方程4x-3y=12中,若x=0,那么对应的y值应为:     [ ]  A、4    B、-4    C、3     D、-3 13、甲、乙两数之和是42,甲数的3倍等于乙数的4倍,求甲、乙两数.若设甲数为x,乙数为y,列方程组           [ ]       正确的个数为:

A.1个     B.2个    C.3个    D.4个

试题详情

10、若是同类项,则        [  ]

A、-3    B、0     C、3     D、6

11

A、  是这方程的唯一解        B、不是这方程的一个解

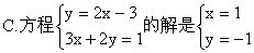
C、是这方程的一个解        D、以上结论都不对

试题详情

9、下列方程组中,属于二元一次方程组的是         [  ]

A、  B、   C、    D、

试题详情

8、已知:,则的值是       

试题详情

7、甲、乙两人在200米的环形跑道上练习径走,当他们从某处同时出发背向行走时,每30秒相遇一次;同向行走时,每隔4分钟相遇一次,设甲、乙的速度分别为每分钟X米,每分钟Y米,则可列方程组 {___________________.

试题详情

5、如果方程组的解是,则       

试题详情


同步练习册答案