题目列表(包括答案和解析)

 0  68257  68265  68271  68275  68281  68283  68287  68293  68295  68301  68307  68311  68313  68317  68323  68325  68331  68335  68337  68341  68343  68347  68349  68351  68352  68353  68355  68356  68357  68359  68361  68365  68367  68371  68373  68377  68383  68385  68391  68395  68397  68401  68407  68413  68415  68421  68425  68427  68433  68437  68443  68451  447348 

38.解析:设第一个长方形的长与宽分别为5xcm和4xcm,第二个长方形的长与宽分别为3ycm和2ycm

从而第一个长方形的面积为:5x×4x=20x2=1620(cm2);第二个长方形的面积为:3y×2y=6y2=150(cm2).   答:这两个长方形的面积分别为1620cm2和150cm2

试题详情

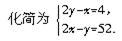
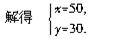
37.解析:由“我像你这样大时,你才4岁”可知师傅现在的年龄等于徒弟现在的年龄加上徒弟现在的年龄减4,由“当你像我这样大时,我已经是52岁的人了”可知52等于师傅现在的年龄加上师傅现在的年龄减去徒弟的年龄.由这两个关系可列方程组求解.设现在师傅x岁,徒弟y岁,根据题意,得 

 

答:现在师傅36岁,徒弟20岁.

试题详情

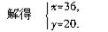
36.解析:由题意得甲做12天,乙做8天能够完成任务;而甲做9天,乙做13天也能完成任务,由此关系我们可列方程组求解.设甲每天做x个机器零件,乙每天做y个机器零件,根据题意,得

 

答:甲每天做50个机器零件,乙每天做30个机器零件

试题详情

35.解析:设第一个方程中y的系数为a,第二个方程的x系数为b.则原方程组可写成

试题详情

34.解析:设两个加数分别为xy.根据题意,得解得

所以原来的两个加数分别为230和42.

试题详情

33.解析: 设甲、乙的速度分别为x千米/时和y千米/时.第一种情况:甲、乙两人相遇前还相距3千米.根据题意,得

第二种情况:甲、乙两人是相遇后相距3千米.根据题意,得    答:甲、乙的速度分别为4千米/时和5千米/时;或甲、乙的速度分别为千米/时和千米/时.

试题详情

32.

试题详情

31.解析:既然是关于xy的二元一次方程3xy+a=0的一个解,那么我们把代入二元一次方程3xy+a=0得到3-2+a=0,解得a=-1.

试题详情

30.C(点拨:由题意可得相等关系:(1)7组的学生数=总人数-4;(2)8组的人数=总人数+3)

试题详情

29.D(点拨:由已知xy=-,可得)

试题详情


同步练习册答案