题目列表(包括答案和解析)

 0  68252  68260  68266  68270  68276  68278  68282  68288  68290  68296  68302  68306  68308  68312  68318  68320  68326  68330  68332  68336  68338  68342  68344  68346  68347  68348  68350  68351  68352  68354  68356  68360  68362  68366  68368  68372  68378  68380  68386  68390  68392  68396  68402  68408  68410  68416  68420  68422  68428  68432  68438  68446  447348 

21.已知2 xb+5y3a与-4 x2ay24b是同类项,则ba的值为(   )

A.2   B.-2   C.1   D.-1

试题详情

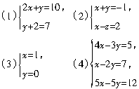
20.已知下列方程组:(1),(2),(3),(4)

其中属于二元一次方程组的个数为(   )

A.1   B.2   C.3   D.4

试题详情

19.已知方程组

其中正确的说法是( )

A.只有(1)、(3)是二元一次方程组

B.只有(1)、(4)是二元一次方程组

C.只有(2)、(3)是二元一次方程组

D.只有(2)不是二元一次方程组

试题详情

18.一个三位数,若百位上的数为x,十位上的数为y,个位上的数是百位与十位上的数的差的2倍,则这个三位数是_______________.

试题详情

17.当m=_______时,方程x+2y=2,2x+y=7,mxy=0有公共解.

试题详情

16.若|3a+4bc|+(c-2 b)2=0,则abc=_________.

试题详情

15.已知等式ykx+b,当x=2时,y=-2;当x=-时,y=3,则k=____,b=____.

试题详情

14.若方程组的解是,则a=_  _,b  _

试题详情

13.已知,是方程x+2 my+7=0的解,则m=_______.

试题详情

12.在(1),(2),(3)这三组数值中,_____是方程组x-3y=9的解,______是方程2 x+y=4的解,______是方程组的解.

试题详情


同步练习册答案