题目列表(包括答案和解析)

 0  75014  75022  75028  75032  75038  75040  75044  75050  75052  75058  75064  75068  75070  75074  75080  75082  75088  75092  75094  75098  75100  75104  75106  75108  75109  75110  75112  75113  75114  75116  75118  75122  75124  75128  75130  75134  75140  75142  75148  75152  75154  75158  75164  75170  75172  75178  75182  75184  75190  75194  75200  75208  447348 

11. 已知当x=-2时,分式无意义;x=4时,分式值为0.则ab=______.

试题详情

10. 某工厂原计划在x天内完成120个零件,采用新技术后,每天可多生产3个零件,结果提前2天完成.可列方程( )

 A. B.  C.  D.

试题详情

9. 甲、乙两人加工某种机器零件,已知甲每天比乙多做a个,甲做m个所用的天数与乙做n个所用的天数相等(其中m≠n),设甲每天做x个零件,则甲、乙两人每天所做零件的个数分别是(   )

A.,; B. ,;  C.,;  D.,

试题详情

8、反比例函数和一次函数y=kx-k在同一直角坐标系中的图象大致是(   )

 

  A         B        C         D

试题详情

7. 函数的图象经点(1,-2),则函数y=kx+1的图象不经过( )

  A.第一象限  B.第二象限   C.第三象限  D.第四象限

试题详情

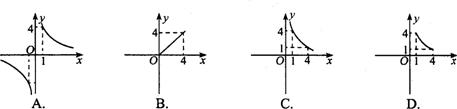
6. 面积为4的矩形一边为,另一边为y,则yx的变化规律用图象大致表示为  ( )

试题详情

5. 下列约分,结果正确的是( )

  A.  B.  C.  D.

试题详情

4. 已知(   )

A   B   C   D

试题详情

3. 下列各式从左到右的变形正确的是(   )

  A、        B、

  C、         D、

试题详情

2. 使式子有意义的x的取值范围为(   ).

Ax>0   Bx≠1   Cx≠-1   Dx≠±1

试题详情


同步练习册答案