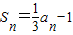
7.已知数列的前n项和Sn满足.那么为( ) A. B. C. D. 查看更多

 

题目列表(包括答案和解析)

已知数列的前n项和Sn满足,那么的值为

A.                             B.                      C.1                        D.-2

查看答案和解析>>

已知数列的前n项和Sn满足,那么

A.        B.     C.        D.

查看答案和解析>>

已知数列{an}的前n项和Sn满足,那么的值为( )
A.
B.
C.1
D.-2

查看答案和解析>>

已知数列{an}的前n项和Sn满足,那么Tn=a2+a4+…+a2n为( )
A.
B.21-2n-2
C.
D.

查看答案和解析>>

已知数列{an}的前n项和Sn满足,那么的值为( )
A.
B.
C.1
D.-2

查看答案和解析>>


同步练习册答案