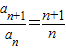
数列满足.则此数列是( ) A. 等差数列 B. 等比数列 C. 既是等差数列又是等比数列 D. 既非等差数列又非等比数列 查看更多

 

题目列表(包括答案和解析)

若数列满足,则此数列是                     

A.等差数列B.等比数列
C.既是等差数列又是等比数列D.既非等差数列又非等比数列

查看答案和解析>>

若数列{an}满足a1=1,,则此数列是( )
A.等差数列
B.等比数列
C.既是等差数列又是等比数列
D.既非等差数列又非等比数列

查看答案和解析>>

若数列{an}满足a1=1,,则此数列是( )
A.等差数列
B.等比数列
C.既是等差数列又是等比数列
D.既非等差数列又非等比数列

查看答案和解析>>

若数列满足,则此数列是                     
A.等差数列B.等比数列
C.既是等差数列又是等比数列D.既非等差数列又非等比数列

查看答案和解析>>

若数列满足,则此数列是                     

A. 等差数列                       B. 等比数列 

C. 既是等差数列又是等比数列       D. 既非等差数列又非等比数列

查看答案和解析>>


同步练习册答案