精英家教网 > 高中数学 > 题目详情
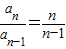
若数列{an}满足a1=1,,则此数列是( )
A.等差数列
B.等比数列
C.既是等差数列又是等比数列
D.既非等差数列又非等比数列
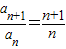
【答案】分析:根据题意可得:an==n,再利用等差数列的定义进行证明即可.
解答:解:因为
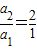
所以
所以an==n,
所以an=n,an-1=n-1,所以an-an-1=1,所以数列{an}是等差数列.
故选A.
点评:本题主要考查了数列的递推式.解题的关键是从递推式中找到规律,进而求得数列的通项公式.
练习册系列答案
相关习题

科目:高中数学 来源: 题型:

下列关于数列的命题中,正确的是(  )

查看答案和解析>>

科目:高中数学 来源: 题型:

(2009•烟台二模)若数列{an}满足an+12-
a
2
n
=d
(d为正常数,n∈N+),则称{an}为“等方差数列”.甲:数列{an}为等方差数列;乙:数列{an}为等差数列,则甲是乙的(  )

查看答案和解析>>

科目:高中数学 来源: 题型:

(2012•三明模拟)若数列{an}满足a≤an≤b,其中a、b是常数,则称数列{an}为有界数列,a是数列{an}的下界,b是数列{an}的上界.现要在区间[-1,2)中取出20个数构成有界数列{bn},并使数列{bn}有且仅有两项差的绝对值小于
1
m
,那么正数m的最小取值是(  )

查看答案和解析>>

科目:高中数学 来源:2013年福建省三明市高三质量检查数学试卷(解析版) 题型:选择题

若数列{an}满足a≤an≤b,其中a、b是常数,则称数列{an}为有界数列,a是数列{an}的下界,b是数列{an}的上界.现要在区间[-1,2)中取出20个数构成有界数列{bn},并使数列{bn}有且仅有两项差的绝对值小于,那么正数m的最小取值是( )
A.5
B.
C.7
D.

查看答案和解析>>

科目:高中数学 来源:2012年福建省三明市普通高中毕业班质量检查数学试卷(理科)(解析版) 题型:选择题

若数列{an}满足a≤an≤b,其中a、b是常数,则称数列{an}为有界数列,a是数列{an}的下界,b是数列{an}的上界.现要在区间[-1,2)中取出20个数构成有界数列{bn},并使数列{bn}有且仅有两项差的绝对值小于,那么正数m的最小取值是( )
A.5
B.
C.7
D.

查看答案和解析>>

同步练习册答案