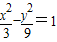
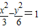
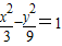
已知双曲线的渐近线为.且过点.则双曲线方程为( ) A. B. C. D. 查看更多

 

题目列表(包括答案和解析)

已知双曲线的渐近线为,且过点,则此双曲线的标准方程为           .

 

查看答案和解析>>

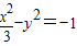
已知双曲线的渐近线为,且过点,则双曲线方程为( )
A.
B.
C.
D.

查看答案和解析>>

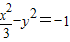
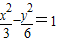
已知双曲线的渐近线为,且过点,则双曲线方程为( )
A.
B.
C.
D.

查看答案和解析>>

已知双曲线的渐近线为数学公式,且过点数学公式,则双曲线方程为


  1. A.
    数学公式
  2. B.
    数学公式
  3. C.
    数学公式
  4. D.
    数学公式

查看答案和解析>>

已知双曲线的渐近线为,且过点,则此双曲线的标准方程为          

查看答案和解析>>


同步练习册答案