0  117036  117044  117050  117054  117060  117062  117066  117072  117074  117080  117086  117090  117092  117096  117102  117104  117110  117114  117116  117120  117122  117126  117128  117130  117131  117132  117134  117135  117136  117138  117140  117144  117146  117150  117152  117156  117162  117164  117170  117174  117176  117180  117186  117192  117194  117200  117204  117206  117212  117216  117222  117230  447090 

61.  氯酸钾(KClO3)可用作苯胺染色的氧化剂和媒染剂等。下面是一种制备氯酸钾的工艺流程:

有关物质的溶解度随温度变化如下表:

物质溶解度/g温度/℃
0
20
40
60
80
100
KCl
27.6
34.0
40.0
45.5
51.1
56.7
KClO3
3.3
7.4
14
24.5
38.5
57
CaCl2
59.5
74.5
128
136.8
147.0
159
Ca(ClO3)2
-
209
-
-
-
-

 

(1) “氯化”在氯化塔中进行。为使“氯化”充分反应,可采取的措施是  (填字母)。 

A. 石灰乳从塔顶喷入,氯气从塔底通入

B. 石灰乳从塔底喷入,氯气从塔顶通入

C. 控制在常温下反应

(2) “反应X”中加入Na2S的目的是为了       。 

(3) “操作Y”包含的实验步骤有        。 

(4) 提纯氯酸钾粗品的实验方法是     。 

(5) 已知:6Fe2++Cl+6H+6Fe3++Cl-+3H2O

5Fe2++Mn+8H+5Fe3++Mn2++4H2O

下面是测定产品中KClO3质量分数的实验操作:

步骤1:准确称取产品a g,配成500 mL溶液;

步骤2:准确移取25.00 mL上述溶液,转移到盛有V1 mL c1 mol·L-1酸性FeSO4溶液中,塞上橡皮塞,充分反应;

步骤3:加入适量 MnSO4溶液,用c2 mol·L-1酸性KMnO4标准溶液滴定至终点,消耗酸性KMnO4标准溶液V2 mL。

①步骤3中加入MnSO4溶液的作用是      。 

②KClO3的质量分数为      (用含字母的代数式表示)。 

③若将步骤2中“塞上橡皮塞”步骤省略,则测得的KClO3的质量分数将   (填“偏高”、“偏低”或“无影响”)。 

试题详情

60. 已知:(X为卤原子,M为烃基或含酯基的取代基等)

由有机物A合成G(香豆素)的步骤如下:

回答下列问题:

(1) 写出C中含氧官能团的名称:  ,F→G 的反应类型是  。 

(2) 写出A和银氨溶液反应的化学方程式:         。 

(3) D的结构简式为  

(4) F有多种同分异构体,写出同时满足下列条件的一种同分异构体的结构简式:           。 

Ⅰ. 分子中除苯环外,无其他环状结构

Ⅱ. 苯环上有两个处于对位的取代基

Ⅲ. 能发生水解反应,不能与Na反应

Ⅳ. 能与新制的Cu(OH)2按物质的量之比为1∶2反应

(5) 二氢香豆素()常用作香豆素的替代品,鉴别二氢香豆素和它的一种同分异构体()需要用到的试剂有:NaOH溶液、  。 

(6) 已知:(R,R'为烃基),试写出以苯和丙烯(CH2CH—CH3)为原料,合成 的路线流程图(无机试剂任选)。合成路线流程图示例如下:

CH2CH2CH3CH2BrCH3CH2OH

 

 

[化学实验与计算]

试题详情

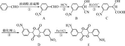
59. 以苯甲醛为原料合成化合物E的路线如下:

(1) 苯甲醛储存时要避免与空气接触,其原因是       。 

(2) A的名称是     ;⑤的反应类型是  

(3) 写出同时满足下列条件的C的一种同分异构体的结构简式:       

①属于苯的对位二元取代物 ②含有硝基、羟基和羧基 ③分子中无甲基

(4) 在C转化为D的过程中可能生成了一种高分子化合物F,写出C→F的化学方程式:       

(5) 2氰基2丁烯酸[CH3CHC(CN)COOH]是合成某种医疗手术用黏合剂的重要物质。写出以丙醛(CH3CH2CHO)和必要的化学试剂来制备2氰基2丁烯酸的合成路线流程图。合成路线流程图示例如下:

CH3CH2OHCH2CH2

试题详情

58. 布僫布洛芬是一种消炎镇痛的药物。它的工业合成路线如下:

请回答下列问题:

(1) A长期暴露在空气中会变质,其原因是      。 

(2) 由A到B的反应通常在低温时进行。温度升高时,多硝基取代副产物会增多。下列二硝基取代物中,最可能生成的是  (填字母)。 

a.      b.  

 c.      d.

(3) 在E的下列同分异构体中,含有手性碳原子的分子是  (填字母)。 

a.        b.

c.    d.

(4) F的结构简式为      。 

(5) D的同分异构体H是一种α-氨基酸,H可被酸性KMnO4溶液氧化成对苯二甲酸,则H的结构简式是      。高聚物L由H通过肽键连接而成,L的结构简式是             。 

试题详情

57. PTT是近几年来迅速发展起来的新型热塑性聚酯材料,具有优异性能,能作为工程塑料、纺织纤维和地毯等材料而得到广泛应用。其合成路线可设计如下:

其中A、B、C均为链状化合物,A能发生银镜反应,C中不含甲基,1mol C可与足量钠反应生成22.4 L H2(标准状况)。请回答下列问题:

(1) A中所含官能团的名称为    ,B的结构简式为    。 

(2) 由物质C与D反应生成PTT的化学方程式为              , 

反应类型为  。 

(3) 分子式为C4H6O、与A互为同系物的同分异构体有  种。 

(4) 请补充完整下列以CH2CHCH3为主要原料(无机试剂任用)制备CH3CH(OH)COOH的合成路线流程图(须注明反应条件)。

CH2CHCH3

 

试题详情

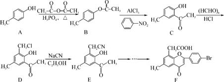
56. 黄酮醋酸(F)具有独特抗癌活性,它的合成路线如下:

已知:RCN在酸性条件下发生水解反应:RCNRCOOH

(1) 写出A→B的化学方程式:             。 

(2) F分子中有3个含氧官能团,名称分别为羰基、    。 

(3) E在酸性条件下水解的产物可通过缩聚反应生成高分子化合物,该高分子化合物的结构简式为   。 

(4) 写出符合下列条件的D的两种同分异构体的结构简式:       。 

①分子中有4种不同化学环境的氢

②可发生水解反应,且一种水解产物能与FeCl3发生显色反应,另一种水解产物能发生银镜反应

(5) 对羟基苯乙酸乙酯()是一种重要的医药中间体。写出以A和乙醇为主要原料制备对羟基苯乙酸乙酯的合成路线流程图(无机试剂任选)。合成路线流程图示例如下:

CH3CH2OHCH2CH2

 

试题详情

55. CYP73A1炔抑制剂的合成路线如下:

(1) 化合物A的核磁共振氢谱有  种峰。 

(2) 化合物C中含氧官能团有    (填名称)。 

(3) 鉴别化合物B和C最适宜的试剂是  。 

(4) 写出A→B的化学方程式:             。 

(5) B的同分异构体很多,符合下列条件的同分异构体有  种。

①苯的衍生物 ②含有羧基和羟基 ③分子中无甲基

(6) 试以苯酚、氯乙酸钠、正丁醇为原料(无机试剂任用),结合题中有关信息,请补充完整合成的路线流程图。

 

试题详情

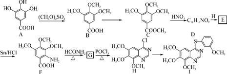
54. 4硫醚基喹唑啉类化合物是一种具有应用前景的抑菌药物,其合成路线如下:

已知:HOOCCH2NH2

(1) A中含氧官能团的名称是   ;E→F的反应类型为  

(2) C的一种同分异构体X是苯的衍生物,苯环上有四个取代基,其中3个为甲氧基(—OCH3),在苯环上的位置与C相同,每摩尔X最多能与2 mol NaOH反应。X的结构简式为    

(3) 写出C→D的化学方程式:             

(4) 物质G的结构简式为    

(5) 利用题给相关信息,以甲苯、HCONH2为原料,合成  (无机试剂任选)。合成路线流程图示例为CH3CH2OHCH2CH2BrCH2CH2Br。

提示:

 ② ③

 

试题详情

53. 利多卡因()是一种局部麻醉药物,可由下列路线合成:

(1) B中含氧官能团的名称是  ,D的结构简式为     。 

(2) A→B的化学方程式为            。 

(3) 由D生成利多卡因的反应类型是  。 

(4) 写出满足下列条件的B的一种同分异构体的结构简式:      。 

①能与FeCl3溶液发生显色反应 ②苯环上只有两个处于对位的取代基 ③能发生银镜反应

(5) 已知:RCH2COOH,写出以苯和乙醇为原料制备的合成路线流程图(无机试剂任选)。合成路线流程图示例如下:

CH2CH2CH3CH2BrCH3CH2OH

 

试题详情

52. 化合物F是有效的驱虫剂。其合成路线如下:

(1) 化合物A的官能团为    (填官能团名称)。 

(2) 反应③的反应类型是  。 

(3) 在B→C的转化中,加入化合物X的结构简式为    。 

(4) 写出同时满足下列条件的E(C10H16O2)的一种同分异构体的结构简式:    。 

Ⅰ. 分子中含有六元碳环 Ⅱ. 分子中含有两个醛基

(5) 已知:RCH2Br

化合物是合成抗癌药物白黎芦醇的中间体,请写出以和CH3OH为原料制备该化合物的合成路线流程图(无机试剂任用)。合成路线流程图示例如下:

H2CCH2CH3CH2BrCH3CH2OH

 

试题详情


同步练习册答案