0  139009  139017  139023  139027  139033  139035  139039  139045  139047  139053  139059  139063  139065  139069  139075  139077  139083  139087  139089  139093  139095  139099  139101  139103  139104  139105  139107  139108  139109  139111  139113  139117  139119  139123  139125  139129  139135  139137  139143  139147  139149  139153  139159  139165  139167  139173  139177  139179  139185  139189  139195  139203  447090 

4.环境污染已成为人类社会面临的重大威胁,下列现象与环境污染无关的是(   )

A.潮汐     B.温室效应    C.酸雨    D.臭氧空洞

试题详情

3.能常状况下,闻气味就能区另的一组物质是(   )

A.氢气和氮气      B.氧气和空气

C.酒精和醋酸      D.食盐和味精

试题详情

2.下列挖实验中,可确认没有发生化学变化的是(   )

试题详情

1.下列材料属于合成材料的是(   )

A.聚乙烯塑料   B.陶瓷   C.硬铝   D.钢筋混凝土

试题详情

40. (3 分)人工养殖海产品需要大量海水。1 kg 海水中含钠离子的质量约为10.76g, 镁离子的质量约为1.29g,还含有大量氯离子和硫酸根离子等。

请根据计算,从下表中选择两种盐,配制一种最简单、最便宜的 “人工海水”, 使该“人工海水”中的钠元素、镁元素含量和海水基本相同。

(l)选择的两种盐是_。 (2)计算配制1t “人工海水”所需盐的成本(写出计算式即可)。

试题详情

39. ( 4 分)实验室用6.5g锌与足量稀硫酸反应,可制得氢气的质量是多少?

试题详情

38.( 6 分)小明参观某养鱼池时,好奇的发现农民向养鱼池中撒一种叫做过氧化钙的淡黄色固体,用来增加鱼池中的含氧量。小明刚学完氧气的实验室制法,于是他想可否用过氧化钙制取氧气。 [ 提出间题] 过氧化钙可否用于制取氧气? [ 查阅资料] 部分内容如下:过氧化钙(CaO2 : )室温下稳定,在300 ℃ 时分解生成氧气,可做增氧剂、杀菌剂等。

( 2 )小明联想到农民用过氧化钙增加鱼池中的含氧量,提出猜想Ⅱ猜想Ⅱ :过氧化钙.与水反应可制取氧气。

实验结论:不能用过氧化钙与水反应制取氧气。 分析与反思: ① 虽然没有快速收集到大量氧气,但由此实验现象,小明认为农民用过氧化钙做增氧剂的主要原因____。 ② 小明希望对此实验进行改进,使该反应加快,你能帮他提出建议吗?你的合理建议:_。 以上建议是否可行,还需进一步通过实验验证。

试题详情

( l )写出标有序号的仪器名称:a ______  b _________

( 2 )CO 和Fe2O3 均属于(填序号)___  ① 单质② 氧化物③ 酸④ 碱

( 3 )澄清石灰水中可观察到的现象是________。

( 4 )点燃b 的目的是_______。     ( 5 )高温条件下此反应的化学方程式为____

37. ( 5 分)实验室废水随意排放会造成环境污染。某校实验室的废水中含有大量 AgNO3、Zn(NO3)2和Fe(NO3)2,该校实验小组设计实验从该废水中回收银,并得到副产品硫酸亚铁晶体。实验方案如下所示。(实验过程中未引入其他的金属元素)

 (l)实验室常用_的方法分离固体甲和溶液乙,该操作需要使用的仪器有_。

(2)固体甲中含有的物质是(填化学式)_ , (3)步骤① 向废水中加人过量A 。检验A 是否过量的方法是_。

试题详情

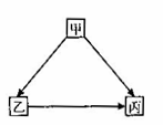
35. ( 6 分)甲、乙、丙是初中化学中常见的物质,其转化关系如右图所示:

( 1 )若甲、乙 组成元素相同,甲、乙、丙中有一种物质为水,则甲为(填化学式)_________

实验室制 丙 的化学方程式为________ . (写出一种)。

( 2 )若甲、乙、丙都含有三种元素,甲、乙、丙的相对分子质量依次增大,其中一种物质广泛用于玻璃、造纸、纺织和洗涤剂的生产。由甲到乙反应的化学方程式为____。也可以转化成甲,其反应的化学方程式为____

( 3 )若甲、乙、丙都含有三种元素,其中两种元素的质量比均为1 : 2 。图示反应中,一个有难溶物生成,另一个有气体生成,第三个有难溶物和水生成。则生成的气体可能为(填化学式)为________由甲到丙反应的化学方________

友情提示:看看前边的溶解性表哦!

试题详情

32. ( 5 分)在人类社会发展过程中,能源起着重要的作用。 ( l )天然气的主要成分为(填化学式)_______,它与石油和_____均属于化石燃料。

( 2 )石油的炼制得到很多产品。下列属于石油炼制产品的是(填序号)_。

① 汽油② 柴油③ 食用酒精 ( 3 )人们正在利用和开发太阳能、核能及_____(只填一种)等新能源。其中氛的核能开发,被认为是解决未来世界能源、环境等问题的主要途径之一。已知氛和氢是同种元素,则氖原子核内的质子数为__。 33. ( 4 分)右表为某品牌燕麦片标签中的一部分。

(1) 右表出现了六大类营养素中的_______类。

(2) 右表出现了_种人体所需的微量元索。

(3) 人体健康离不开钙元素。下列有关钙元素的叙述中,不正确的是(填序号)____

① 人体中钙元素大部分存在于骨骼和牙齿中

② 幼儿及青少年缺钙会得佝偻病和发育不良

③ 老年人缺钙会发生骨质疏松,容易

④ 成年人比幼儿和青少年需要摄人更多的钙

(4)假设每克蛋白质完全氧化放出热量约为18kJ ,

 则每100g 燕麦片中蛋白质完全氧化所放出的热量约为_kJ 。

34 (6分)人们的日常生活离不开金属,高科技新材料的开发和应用也需要金属。

(1)地壳中含量最高的金属元素是____。 (2)根据下图金属应用实例推断,金属具有的物理性质有________.

 

(3)日常使用的金属材料多数属于合金。下表列出了一些常见合金的主要成分和性能。

合金
合金的主要性能
主要成分及纯金属的性能
焊锡
熔点183℃
锡:熔点232℃ ;铅:熔点327℃
硬铝
强度和硬度好
铝、铜、镁等。硬度小,质软铁、
不锈钢
抗腐蚀性好
铬、镍等。纯铁抗腐蚀性能不如不锈钢

由上表推断,与组成合金的纯金属相比,合金的优点一般有(填序号)_。

① 强度更低② 硬度更高③ 熔点更高④ 抗腐蚀性更好

(4)人们每年要从金属矿物资源中提取数以亿吨计的金属。根据所学化学知识,按要求写出两个生成金属的化学方程式:    ① _________(置换反应);② ____________(分解反应)。

( 5 ) 2008 年奥运会主运动场“鸟巢”使用了大量的钢铁。钢铁与______直接接触容易生锈造成损失,在钢铁表面涂油、刷漆等,都能防止钢铁生锈

试题详情


同步练习册答案