0  140341  140349  140355  140359  140365  140367  140371  140377  140379  140385  140391  140395  140397  140401  140407  140409  140415  140419  140421  140425  140427  140431  140433  140435  140436  140437  140439  140440  140441  140443  140445  140449  140451  140455  140457  140461  140467  140469  140475  140479  140481  140485  140491  140497  140499  140505  140509  140511  140517  140521  140527  140535  447090 

36.(7分)请结合下列实验常用装置,回答有关问题。

(1)写出图中标有字母的仪器名称:a__________   

(2)若用高锰酸钾制取氧气,应选用的发生装置是__________(填装置的序号),反应的化学方程式为              

(3)若要制取二氧化碳,在B装置中装有石灰石,那么a中应加入___________。若要获得干燥的二氧化碳,还应选用D装置,并在该装置中盛放        (填写试剂名称)。如果用E装置收集该气体,则气体从_________端进入(填“b”或“c”)。

(4)实验室若用块状固体和液体无需加热制取气体,可将B装置改进为C装置(多孔隔板用来放块状固体),其改进后的优点是                    

试题详情

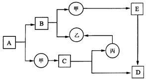
35.(5分)下图是初中化学中常见物质间的转化关系,其中甲、乙、丙为单质且只有丙为固体;A、B、C、D、E为化合物,且A与B的组成元素相同,D与E的组成元素也相同。已知C为黑色粉末,C和E在高温条件下可生成丙和D,其余反应条件、部分反应物和生成物均已略去。试推断:

(1) 写出有关物质的化学式:A_________、乙_________、E_________;

(2) 写出下列反应的化学方程式:

    A→B+甲:______________________________  

    C+E→丙+D:_______________________________。

试题详情

34.(4分)

在班级的“元旦联欢会”中,小明同学利用所学化学知识表演了一个魔术:在桌面上摆了四个盛有不同无色溶液(均为初中所学常见物质)的高脚杯,他将A高脚杯中的液体分别倒入另外三个高脚杯中,看到下列现象: B中液体产生大量气泡,变为“汽水”; C中液体变为红色,好似“葡萄酒”; D中的液体变为“牛奶”(产生大量的白色沉淀)。请按要求回答下列问题:

(1)C物质的名称为      

(2)若A与B不含相同元素,则A与B的化学式分别为A      、  B        

(3)若A与D为不同类化合物,则A与D反应的化学方程式为                

试题详情

33.(3分)

下图为甲、乙、丙三种物质的溶解度曲线图,请依据曲线图说出三条相关信息。

⑴t2℃时,三种物质溶解度的关系是      (填“﹤”或“﹥”或“﹦”符号)

⑵ 通过观察与思考,你还能得出的一条信息是                 

(信息中要求至少包含两种物质)

⑶将甲、乙、丙三种物质t2℃时的饱和溶液降温至t1℃,所得溶液的溶质质量分数关系是

        (填“﹤”或“﹥”或“﹦”符号)

试题详情

32.(7分)

第29届夏季奥运会将于2008年8月8日在北京举行。

⑴搭建奥运会主体育场“鸟巢”的是Q460特种钢。制作Q460时,通常需要向钢中添加微量的铌(Nb)、钒(V)、钛(Ti)等元素。这几种元素属于      元素(填写“金属”或“非金属”)。

⑵奥运火种采集工作于2008年3月24日在希腊奥林匹亚进行,用采集的火种点燃奥运火炬。作为火种的物质应具有的化学性质是____________________。火炬将在世界范围内传递,并于2008年5月首次到达珠穆朗玛峰峰顶,在那里火炬不易燃烧,其原因是____________

_____________,但我国的科技人员已成功地解决了这一难题,火炬在燃烧稳定性与外界环境适应性方面达到了新的技术高度。

⑶奥运会火炬“祥云”(如图示) 不仅有着完美的外表,而且由于高科技的运用,大风、大雨天气都能正常燃烧。它采用的燃料是丙烷(化学式为C­3H­8),符合“绿色奥运”的要求。试回答下列问题:

①丙烷中,碳、氢两元素的质量之比为      (最简整数比)。

②火炬点燃后,完全燃烧的产物与天然气完全燃烧产物相同,其化学方程式为:     

             

⑷以碳、氢两种元素组成的环状有机化合物中,从含三个碳原子到含十个碳原子的碳、氢化合物依次按丙、丁、戊、己、庚、辛、壬、癸来标记碳原子数,并根据碳原子数命名为“环某烷“。如环丙烷,其化学式为C3H6,结构式如下图①,也可简写为下图②。现有一种由碳、氢两种元素组成的有机环状化合物,其结构式简写成下图③,该物质的名称是:      ,化学式为:       

试题详情

31.(7分)

⑴豆浆机由于快捷方便而进入千家万户。请根据下列某全自动家用豆浆机图示回答:

①制作材料中属于金属以及合金的是       (填写物质的编号,下同),属于合成有机高分子材料的是         

②用铜制材料制作电源插头的插孔是利用铜具有       性。

⑵豆浆已成为众多家庭的早餐必备饮品,下表是豆浆中一些成分的平均质量分数:

成分

蛋白质
脂肪
糖类



维生素A
质量分数/%
96.0
1.8
0.7
1.1
0.01
0.03
0.0005
0.015

①成分中的“钙、磷、铁”指       (填“元素”、“单质”或“化合物”),在六大类营养素中以       的形式存在。

②若成年人每天饮用250 mL的豆浆(密度以1g/cm3计算),则摄入钙的质量为     g,青少年缺乏该元素易患       (填序号)。

  A.甲状腺肿大   B.佝偻病   C.贫血   D.夜盲症

试题详情

30.下图表示相连线的酸、碱、盐之间可以发生复分解反应,下表提供的四组物质符合左下图要求的是

第Ⅱ卷  (非机读卷  共50分)

试题详情

29.印刷铜制电路板的“腐蚀液”为FeCl3溶液。已知铜、铁均能与FeCl3溶液反应,反应方程式分别为:Cu+2FeCl3=2FeCl2+CuCl2 ,Fe+2FeCl3=3FeCl2 ,现将一包铜、铁的混合粉末加入到盛有FeCl3溶液的烧杯中,充分反应后烧杯中仍有少量固体,关于烧杯中物质组成的说法正确的是

A.若溶液中含FeCl3,则固体一定含有铁和铜   

B.若溶液中含FeCl2和CuCl2, 则固体一定含铁

C.若溶液中只含FeCl2, 则固体一定含铜可能含铁

D.若溶液中只含FeCl2, 则固体一定有铁,可能有铜

试题详情

28.小东同学做了如下图所示的实验:将一粒不与盐酸反应的小球放入盛有盐酸的烧杯中,小球漂浮于液面(位置如下图所示)。然后将从废旧电池外壳中收集来的锌片(过量)投入杯中,到不再有气泡产生为止(溶液体积变化忽略不计)。与开始时相比,小球所处的位置将

A.往上浮          B.保持不变           C.略往下沉             D.沉到杯底

试题详情

27.化学中常常出现“1+1≠2”的有趣现象,但也有例外。一定温度下符合“1+1=2”的事实是                               

A.1 L水与1 L酒精混合后的体积等于2 L

B.1 g镁与1 g稀硫酸充分反应后所得的溶液质量等于2 g

C.1 g硫粉在1 g氧气中完全燃烧后生成2 g二氧化硫

D.1 g硝酸钾饱和溶液中加入1 g硝酸钾固体能得到2 g硝酸钾溶液

试题详情


同步练习册答案