0  140980  140988  140994  140998  141004  141006  141010  141016  141018  141024  141030  141034  141036  141040  141046  141048  141054  141058  141060  141064  141066  141070  141072  141074  141075  141076  141078  141079  141080  141082  141084  141088  141090  141094  141096  141100  141106  141108  141114  141118  141120  141124  141130  141136  141138  141144  141148  141150  141156  141160  141166  141174  447090 

3.医疗上使用的氧气钢瓶体积较小,却能将大量的氧气压缩于其中,是因为  (   )

A.分子很小                B.分子是可分的

C.分子之间有间隔              D.分子在不停地运动

试题详情

2.2008年北京奥运会的三大理念是“科技奥运”“人文奥运”“绿色奥运”,以下措施与“绿色奥运”理念无关的是   (   )

A.招募奥运会志愿者为奥运会提供服务

B.在市区增加绿化面积,并建立空气质量监督制度

C.近年来关闭和搬迁了一批高污染工业企业

D.在奥运村将使用锂电池公交车,实现空气污染物的零排放

试题详情

1.芜湖市某自来水厂净水的过程是:长江水(水源)反应沉淀池→过滤池消毒吸附池→配水泵→用户。用户使用的水是(   )

A.纯净物       B.混合物          C.单质        D.化合物

试题详情

22.(11分)小明利用家里的现成条件,对家中所用自来水的软硬进行了探究:

[提出问题]

自来水属于软水还是硬水?硬水煮沸后硬度会有变化吗?

[查阅资料]

硬水中含有易溶于水的碳酸氢钙等物质。碳酸氢钙分解后生成难溶于水的碳酸钙、水和二氧化碳。

[实施探究]

⑴他将家中的水壶装满水后放在液化气灶上加热,很快就发现有气泡产生,他用手一摸水还是凉的,于是他断定不是水蒸气,那么这种气体可能是     。过一会儿他听到水壶发出一些嘶嘶啦啦的响声,壶嘴有少量水雾。他用冷玻璃杯罩在上面,又过一会儿杯内出现水珠,这是物理变化。再过一会儿水壶的响声变小了,他打开水壶发现水沸腾了,沸水中出现一些白色固体。他想这就是人们通常所说的水垢,而且他猜想里面一定含有       (填一种化学式),写出碳酸氢钙分解的化学方程式_____________________________________。

⑵他用三只玻璃杯分别收集了一些水样:①号杯中收集的是壶嘴处冷凝的水;②号杯中装入一些煮沸过的凉开水;③号杯中取一些自来水。然后将肥皂水分别滴进杯中,用筷子搅拌,杯中泡沫多少的顺序是        (填序号)。

[得出结论]

家中的自来水为    (填“硬”或“软”)水,烧开过的水硬度会    (填“升高”、“降低”或“无变化”)。

[反思与评价]

经过此次探究活动,对你日常饮水有何启发?                   

                                 

 [实验证明]

小明同学取一些水垢到实验室,他想通过实验证明水垢的成分为碳酸钙。他称取这些水垢10克放在试管中并加足量的稀盐酸,将产生的气体通入澄清石灰水后,石灰水变浑浊。待水垢全部溶解不再产生气体时,他称量发现试管中所得的物质比反应前减少了2.2g。求水垢中所含碳酸钙的质量分数为多少?

试题详情

20.(4分)老师用下图所示装置为同学们做了一个兴趣实验。A装置中盛有二氧化锰黑色粉末,B装置中盛有足量的澄清石灰水,C装置中盛有足量的稀盐酸,气球中装有少量的碳酸钠粉末。

⑴打开分液漏斗的活塞和玻璃塞,使A装置与大气相通,将气球中的碳酸钠粉末全部倒入稀盐酸中,可以观察到C装置中的现象是__________________________________。

⑵待上述反应结束后,从分液漏斗注入足量的过氧化氢溶液,关闭活塞和玻璃塞,A装置中发生反应的化学方程式为________________________________________。

⑶在整个实验过程中,B装置中的现象是____________________________。

⑷C装置中气球的作用是___________(填字母)。

a. 收集纯净气体     b. 添加固体药品    c. 调节C装置容积      d. 控制气体总量

试题详情

19.(7分)碳与碳的化合物在工农业生产及日常生活中有广泛的用途。

⑴下图是碳原子结构示意图,碳原子的质子数是     ,碳元素在元素周期表中位于第      周期。

⑵古代用墨书写或绘制的字画虽年久仍不变色,原因是墨中主要成分碳具有     性。上图是木炭还原氧化铜的实验,大试管中的反应体现了碳的还原性,其反应的化学方程式是                  ,单质碳的还原性可以用于冶金工业。

⑶二氧化碳能参与光合作用完成大气中的“碳循环”,但是大气中二氧化碳的含量不断上升,会使全球变暖,从而导致          。蔬菜大棚用作气肥的二氧化碳,可用多种方法制得,例如可以用稀硫酸与碳酸氢铵(NH4HCO3)反应制得,反应后生成硫酸铵、水和二氧化碳,这一反应的化学方程式是              

⑷研究发现:物质的结构决定性质,物质的性质决定用途。如:一氧化碳也能还原氧化铜,也有还原性。从化学反应前后碳元素化合价的变化特点分析,一氧化碳和碳都具有还原性的原因是                   

试题详情

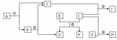
18.(5分)物质A-J有下图转化关系,反应条件均略去。A、B物质的组成元素相同,C、D、G是初中化学中常见的单质,I是金属。H的相对分子质量为100,组成元素的原子个数比为3:2,其中一种元素的质量分数为28%。

试回答:

⑴上述转化中属于分解反应的是       (填序号);

⑵A、J、H的化学式为A      、H     

⑶反应②的化学方程式为                     

反应③的化学方程式为                    

试题详情

17.⑴(4分)写出符合下列要求的物质(或主要成分)的化学式

①空气中含量最高的物质      

②天然气的主要成分         

③自然界中最硬物质的化学式    

④相对分子质量最小的氧化物    

⑵(3分)选择恰当的试剂或方法除去括号内的杂质(用化学方程式表示)。

①CO(CO2)                    

②CO2(CO)                    

③CO2(O2)                      

⑶(6分)物质的分类标准有很多,可以是物质的组成、性质、用途等等。有下列4种物质:一氧化碳、碳、氢气、二氧化碳。请根据所学知识,自拟分类标准对4种物质进行分类,要求每种分类标准包括三种物质。

①分类标准一:                  ,包括物质        

②分类标准二:                  ,包括物质        

③分类标准三:                  ,包括物质        

试题详情

16.(5分)元素周期表是学习化学的重要工具。元素周期表能够反映元素原子结构的许多信息,原子结构与元素的性质和物质的组成有关。请根据元素周期表中钙元素的“身份证”(见下图),填写以下各图中横线上的空白。

试题详情


同步练习册答案