0  155278  155286  155292  155296  155302  155304  155308  155314  155316  155322  155328  155332  155334  155338  155344  155346  155352  155356  155358  155362  155364  155368  155370  155372  155373  155374  155376  155377  155378  155380  155382  155386  155388  155392  155394  155398  155404  155406  155412  155416  155418  155422  155428  155434  155436  155442  155446  155448  155454  155458  155464  155472  447090 

14.关于重心,下列说法中正确的是                     (   )

   A.重心就是物体内最重的一点      B.物体发生形变时,其重心位置一定不变

    C.物体升高时,其重心在空中的位置一定不变

   D.采用背越式跳高的运动员在越过横杆时,其重心位置可能在横杆之下

试题详情

13.下列情况中的速度,属于平均速度的是                  (   )

   A.百米赛跑的运动员冲过终点线时的速度为9.5m/s

   B.由于堵车,汽车在通过隧道过程中的速度仅为1.2m/s

    C.返回地球的太空舱落到太平洋水面时的速度为8m/s     D.子弹射到墙上时的速度为800m/s

试题详情

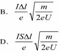
12.在显像管的电子枪中,从炽热的金属丝不断放出的电子进入电压为 U的加速电场,设

其初速度为零,经加速后形成横截面积为 S、电流为 I的电子束。已知电子的电量为

e、质量为 m,则在刚射出加速电场时,一小段长为△L的电子束内电子个数是

 

试题详情

11.木块A、B分别重50 N和60 N,它们与水平地面之间的动磨擦因数均为0.25;夹在A、B静止不动。现用F=1 N的水平拉力作用在木块B上.如图所示.力F作用后静止不动.现用F=1 N的水平拉力作用在木块B上,如图所示力F作用后            

A.木块A所受摩擦力大小是12.5 N B.木块A所受摩擦力大小是11.5 N C.木块B所受摩擦力大小是9 N D.木块B所受摩擦力大小是7 N

试题详情

10.使用电的金属球靠近不带电的验电器,验电器的箔片开。下列各图表示验电器上感应电荷的分布情况,正确的是

      A          B          C         D

试题详情

9.如图,位于水平桌面上的物块P,由跨过定滑轮的轻绳与物块Q相连,从滑轮到P和到Q的两段绳都是水平的。已知Q与P之间以及P与桌面之间的动摩擦因数都是μ,两物块的质量都是m,滑轮的质量、滑轮轴上的摩擦都不计,若用一水平向右的力F拉P使它做匀速运动,则F的大小为

A  4μmg   B  3μmg

C  2μmg   D  μmg

试题详情

8.一位质量为m的运动员从下蹲状态向上起跳,经Δt时间,身体伸直并刚好离开地面,速度为v。在此过程中,

A.地面对他的冲量为mv+mgΔt,地面对他做的功为mv2

B.地面对他的冲量为mv+mgΔt,地面对他做的功为零

C.地面对他的冲量为mv,地面对他做的功为mv2

D.地面对他的冲量为mv-mgΔt,地面对他做的功为零

试题详情

7.最近,科学家在望远镜中看到太阳系外某一恒星有一行星,并测得它围绕该恒星运行一周所用的时间为1200 年,它与该恒星的距离为地球到太阳距离的100 倍。 假定该行星绕恒星运行的轨道和地球绕太阳运行的轨道都是圆周,仅利用以上两个数据可以求出的量有  

A.恒星质量与太阳质量之比   B.恒星密度与太阳密度之比

C.行星质量与地球质量之比   D.行星运行速度与地球公转速度之比

试题详情

6.如图所示,一物块位于光滑水平桌面上,用一大小为F 、方向如图所示的力去推它,使它以加速度a向右运动。若保持力的方向不变而增大力的大小,则

A . a 变大   

B .不变 

C.a变小 

D . 因为物块的质量未知,故不能确定a变化的趋势

试题详情

5.如所示,位于光滑固定斜面上的小物块P受到一水平向右的推力F的作用。已知物块P沿斜面加速下滑。现保持F的方向不变,使其减小,则加速度 

A.一定变小     B.一定变大

   C.一定不变   D.可能变小,可能变大,也可能不变

试题详情


同步练习册答案