0  157070  157078  157084  157088  157094  157096  157100  157106  157108  157114  157120  157124  157126  157130  157136  157138  157144  157148  157150  157154  157156  157160  157162  157164  157165  157166  157168  157169  157170  157172  157174  157178  157180  157184  157186  157190  157196  157198  157204  157208  157210  157214  157220  157226  157228  157234  157238  157240  157246  157250  157256  157264  447090 

19.在一匀强电场区域中,有A、B、C、D四点恰好位于一平行四边形的四个顶点上,已知A、B、C三点电势分别为,则D点电势大小为

   A.-3V           B.2V            C.0             D.1V

试题详情

18.据环球时报2月11日报道,美国和俄罗斯的两颗卫星2009年2月10日在太空相撞,相撞地点位于西伯利亚上空500英里(约805公里)。相撞卫星的碎片形成太空垃圾,并在卫星轨道附近绕地球运转,国际空间站的轨道在相撞事故地点下方270英里(434公里)。若把两颗卫星和国际空间站的轨道看作圆形轨道,上述报道的事故中以下说法正确的是

   A.这两颗相撞卫星在同一轨道上

   B.这两颗相撞卫星的周期、向心加速度大小一定相等

   C.两相撞卫星的运行速度均大于国际空间站的速度

   D.两相撞卫星的运行周期均大于国际空间站的运行周期

试题详情

17.如图所示,理想变压器的副线圈上通过输电线接有两个相同的灯泡,输电线的等效电阻为,开始时,开关断开。当接通时,以下说法中正确的是

   A.副线圈两端的输出电压减小

   B.副线圈输电线等效电阻上的电压增大

   C.通过灯泡的电流减小

   D.原线圈中的电流增大

试题详情

16.平抛运动可以分解为水平和竖直方向的两个直线运动,在同一坐标系中做出这两个分运动的图线,如图所示,若平抛运动的时间大于则下列说法中正确的是

   A.图线2表示竖直分运动的图线

   B.时刻的速度方向与初速度方向夹角为30°

   C.时刻的位移方向与初速度方向夹角的正切为

   D.时刻的位移方向与初速度方向夹角为60°

试题详情

17.(10分)如图所示,OO / 右侧是绝缘的水平面,左侧是一水平足够长的传送带,正以速度v0顺时针转动,绝缘平面与传送带吻接处良好。今在距离为OO / x0处放一静止的带正电的小物块(可视为质点),其质量为m,所带电荷量不变(电荷量q未知)。物块在电场力作用下向左运动,并冲上传送带,已知:物块受的电场力Eqmg,传送带的恒定速度为v0;水平面和传送带与物块间的动摩擦因数为μ=0.5。求:

  (1)物块在传送带上向左运动时,距的最大水平距离s

   (2)物块在传送带上运动时,电动机为了维持传送带匀速转动,对传送带所多提供的能量多大?

试题详情

16.(10分)质量分别为3mm的两个物体,用一根细线相连,中间夹着一个被压缩的轻质弹簧,整个系统开始在光滑水平地面上以初速度v0向右匀速运动,如图所示。后来细线突然断裂,质量为m的物体离开弹簧时的速度变2v0。求:弹簧在这个过程中做的总功。

试题详情

15.(10分)在研究摩擦力特点的实验中,将木块放在水平长木板上,如图甲所示,用力沿水平方向拉木块,拉力从0开始逐渐增大。分别用力传感器采集拉力和木块受到的摩擦力,并用计算机绘制出摩擦力f随拉力F的变化图象,如图乙所示。已知木块质量为0.7kg。(取重力加速度g=10m/s2,sin37°=0.6,cos37°=0.8)求:

  (1)木块与长木板间的动摩擦因数。

(2)若将实验的长木板与水平方向成37°角放置,将木块置于其上,在平行木板的恒定拉力F作用下,以a=2.0m/s2的加速度从静止开始向上做匀变速直线运动。求拉力应为多大?(结果保留两位有效数字)

试题详情

14.(10分)如图所示,有一带正电小球,从地面上A点正上方的某点O以某一初速度平抛,落地点为B点(不计空气阻力);今在竖直平面所在的空间加一个竖直向上的匀强电场后,仍从O点以相同的初速度平抛该带电小球,小球落地点为C点,测得AC=2AB。已知小球的重力为mg,小球所带电荷量为q。求:电场强度E的大小?

试题详情

13.(12分)某同学利用如图所示的装置测量当地的重力加速度。实验步骤如下:

A.按装置图安装实验装置;

B.用游标卡尺测量小球的直径d

C.用米尺测量悬线的长度l

D.让小球在竖直平面内小角度摆动。当小球经过最低点时开始计时,并计数为0。此后小球每经过最低点一次,依次计数1、2、3……。当数到20时,停止计时,测得时间t

E.多次改变悬线长度,对应每个悬线,都重复实验步骤C、D;

F.计算出每个悬线对应的t2

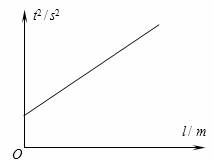
G.以t2为纵坐标、l为横坐标,作出t2l图线。

(1)用主尺的最小分度是1mm、游标尺上有20个小的等分刻度的游标卡尺测量小球的直径。某次测量的示数如图所示,读出小球的直径是______________cm。

(2)该同学利用实验数据作出t2l图线,如图所示为图线的示意图,发现图线没有通过坐标原点。并从理论上分析了图线没有通过坐标原点的原因。他提出了四种可能的原因,其中分析正确的是

A.不应在小球经过最低点时开始计时,应该在小球运动到最高点时开始计时;

B.开始计时后,不应记录小球经过最低点的次数,而应记录小球做全振动的次数;

C.不应作t2l图线,而应作tl图线;

D.不应作t2l图线,t2-(l)图线。

(3)该同学根据实验数据得到图线的方程t2=404.0lb(其中b为截距,未知)。并由此求出了当地的重力加速度,他计算重力加速度是利用图线中的哪些数据?

A.图线上某点的坐标

B.图线的斜率

C.图线横轴的截距

D.图线纵轴的截距

(4)由上述图线方程求得的重力加速度g=____m/s2。(取π2=9.86,结果保留3位有效数字)

试题详情

12.理论研究表明,无阻在的均匀带电平面在周围空间会形成与平面垂直的匀强电场。现有两块无阻大的均匀绝缘带电平面,一块两面正电,一块两面负电。把它们正交放置如甲图所示,单位面积所带电荷量相等(电荷在相互作用时不移动),图甲中直线A1B1A2B2分别为带电平面和带负电的平面与纸面正交的交线的交点,O为两交线的交点,则图乙中能正确反映等势面分布情况的是

第Ⅱ卷(非选择题)

试题详情


同步练习册答案