0  172808  172816  172822  172826  172832  172834  172838  172844  172846  172852  172858  172862  172864  172868  172874  172876  172882  172886  172888  172892  172894  172898  172900  172902  172903  172904  172906  172907  172908  172910  172912  172916  172918  172922  172924  172928  172934  172936  172942  172946  172948  172952  172958  172964  172966  172972  172976  172978  172984  172988  172994  173002  447090 

3.五颜六色的颜色变化增添了化学的魅力,对下列有关反应的颜色叙述正确的是  (   )

    ①新制氯水久置后→浅黄绿色消失;    ②淀粉溶液遇单质碘→蓝色;

    ③溴化银见光分解→白色;           ④黑色的氧化铜遇乙醇→红色

    ⑤鸡蛋白溶液遇浓硝酸→黄色;        ⑥苯酚在空气中氧化→粉红色

A.①②③④⑤     B.②③④⑤⑥     C.①②④⑤⑥     D.①③④⑤⑥

试题详情

2.氮化硅陶瓷是一种超硬耐磨物质,可用于制造高性能柴油机发动机部件,它属于(   )

    A.有机合成材料                   B.复合材料

    C.无机非金属材料                 D.金属材料

试题详情

1.化学与生活密切相关,下列有关说法正确的是                          (   )

    A.目前加碘食盐中主要添加的是KI

    B.生理盐水的浓度为0.9%

    C.淀粉、蛋白质、脂肪都是营养物质,都属于高分子化合物

    D.家庭可以用明矾将自来水净化成纯净水

试题详情

37. (7分) 某固体混合物可能由Al、(NH4)2SO4、MgCl2、AlCl3、FeCl2中的一种或几种组成,现对该混合物作如下实验,所得现象和有关数据如图所示(气体体积数据已换算成标准状况下的体积):

回答下列问题:

  (1)混合物中是否存在FeCl2   ___(填“是”或“否”);

 (2)混合物中是否存在(NH4)2SO4   ___(填“是”或“否”),你的判断依据是

                                   

  (3)写出反应④的离子反应方程式:                    。

  (4)请根据计算结果判断混合物中是否含有AlCl3(说出你的计算依据,不要求写计算过程)                                 

试题详情

36.(9分)烷烃A只可能有三种一氯取代产物B、C和D。C的结构简式是(CH3)2C(CH2CH3)CH2Cl以上反应及B的进一步反应如下图所示。

请回答: 

  (1)A的结构简式是                    。H的结构简式是                     

  (2)F、G中所含官能团的名称依次是          ,            。

  (3)B转变为E的反应属于          反应(填反应类型名称)。

  (4)B转变为F的化学方程式                         

  (5)1.16gH与足量NaHCO3作用,标准状况下可得CO­2的体积是       mL。

试题详情

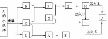
35.(9分)图中的每一方格表示有关的一种反应物或生成物(反应时加入或生成的水,以及生成沉淀J时的其他产物均已略去)。已知常温下B、C为气态单质,G为固态单质,其余均为化合物。A是由2种短周期元素组成的离子化合物。B形成的氧化物的总电子数比F的总电子数少8。请填写下列空格:

(1)E是_________,I是_________,I溶液蒸干并灼烧,所得固体是      (均填化学式)。

  (2)写出C的水溶液与SO2反应的离子方程式                  

  (3)写出电解A的水溶液的离子方程式                 

      (4)在20℃时A的溶解度为36g,取一定量该温度下的饱和溶液用惰性电极进行电解,当阳极析出11.2L气体时(标准状况),A完全电解,所得溶液密度为1.20g/mL。则所取A溶液的质量为   

试题详情

34.(7分)在25mL氢氧化钠溶液中逐滴加入0.2mol/L醋酸溶液,滴定曲线如下图所示,

  (1)写出氢氧化钠溶液与醋酸溶液反应的离子方程式      _       

  (2)该氢氧化钠溶液的物质的量浓度为  __mol·L-1

  (3)在B点,a  ___12.5ml(填“大于”、“小于”或“等于”,下同)。若由体积相等的氢氧化钠和醋酸混合而且恰好呈中性,则混合前c(NaOH)  __c(CH3COOH),混合前酸中 c (H+)和碱中c (OH-)的关系:c (H+)  ____c (OH-)。

  (4)在D点溶液中离子浓度大小关系为    __   

试题详情

33.(6分)物质间的三角转化关系是化学常见关系,如图,已知A、B、C都含有同一种元素X,且A、B、C之间可以相互转化。

   (1)若A是常见金属的氢氧化物,且A+OH-→B,A+H+→C,写出下列离子方程式:

①C溶液显酸性       ,②B→C的离子方程式      ,B与C    (填“能”或“不能”)共存。

  (2)若A是酸性氧化物,且分子空间构型为直线型,B、C的焰

色反应为黄色,相同条件下B的溶解度小于C的溶解度。则A的电子式是      ,B的俗名是     。写出: B固体→C固体的化学方程式            

试题详情

32.(5分)CO、CH4均为常见的可燃性气体。

  (1)等体积的CO和CH4在相同条件下分别完全燃烧,转移的电子数之比为:________________。⑵120℃、101kPa下,amL由CO、CH4组成的混合气体在bmL O2中完全燃烧后,恢复到原温度和压强。

①若混合气体与O2恰好完全反应,产生bmL CO2,则混合气体中CH4的体积分数为_____。

②若燃烧后气体体积缩小了a/4 mL,则a与b关系的数学表示式是_________________。

试题详情

31.(5分)(1)化学实验必须注意安全,下列做法不存在安全隐患的是     (选填序号)。

A.氢气还原氧化铜实验中,先加热氧化铜后通氢气

B.蒸馏石油时,加热一段时间后发现未加碎瓷片,立刻拨开橡皮塞并投入碎瓷片

C.实验室做钠的实验时,余下的钠屑投入到废液缸中

D.配制浓硫酸与酒精混合液时,将1体积的酒精倒入3体积的浓硫酸中

E.皮肤上沾有少量浓硫酸时,立刻用大量水冲洗,再涂上稀碳酸氢钠溶液

F.制乙烯时,用量程为300℃的温度计代替量程为200℃的温度计,测反应液的温度

  (2)下列有关实验的叙述,正确的是(填序号)     

A.用渗析法分离淀粉中混有的NaCl杂质

B.用碱式滴定管量取20.00mL0.10mol/L高锰酸钾溶液

C.测定某溶液的pH时,将润湿的pH试纸浸入到待测溶液,过一会取出,与标准比色卡进行对比

D.用浓氨水洗涤做过银镜反应的试管

E.配制银氨溶液时,将稀氨水慢慢滴加到硝酸银溶液中,产生沉淀后继续滴加到沉淀刚好溶解为止

F.配制一定浓度的溶液时,若定容时不小心加水超过容量瓶的刻度线,应立即用滴管吸去多余的部分

G.在氢氧化铁胶体中加少量硫酸会产生沉淀

H.用托盘天平称取10.50 g干燥的NaCl固体;

I.苯与溴水在铁粉的催化作用下制备溴苯;

试题详情


同步练习册答案