0  173126  173134  173140  173144  173150  173152  173156  173162  173164  173170  173176  173180  173182  173186  173192  173194  173200  173204  173206  173210  173212  173216  173218  173220  173221  173222  173224  173225  173226  173228  173230  173234  173236  173240  173242  173246  173252  173254  173260  173264  173266  173270  173276  173282  173284  173290  173294  173296  173302  173306  173312  173320  447090 

21. (6分)

   

①   在25℃时,将两个铜电极插入一定量的硫酸钠饱和溶液中,进行电解,通电一段时间后,阴极逸出amol气体,同时有w g Na2SO4·10H2O晶体析出,若温度不变,剩余溶液的质量分数是    (填选项),为确保此实验顺利进行不能使用的一种常见的玻璃仪器是          (填仪器名称)

②     在25℃时,将两个铂电极插入一定量的硫酸钠饱和溶液中,进行电解,通电一段时间后,阳极逸出amol气体,同时有w g Na2SO4·10H2O晶体析出,若温度不变,剩余溶液的质量分数是    (填选项)

试题详情

19.(12分)(1)(6分)将洁净金属片A、B、C、D分别放置在浸有盐溶液的滤纸上面并压紧(如下图)。

在每次实验时,记录电压表指针的移动方向和电压表的读数如下:

       

已知构成原电池两电极的金属活泼性相差越大,电压表读数越大。请根据上述记录判断:

①A、B、C、D四块金属片中金属活泼性最强的为    (请用字母表示)。

②若滤纸不用盐溶液浸润而用NaOH溶液浸润,一段时间后,则在滤纸上能看到有白色物质析出,后迅速变为灰绿色,最后变成红褐色。则滤纸上方的金属片为    (请用字母表示),其对应的原电池的正极电极反应式为:                 

(2) (6分)由于Fe(OH)2极易被氧化,所以实验室很难用亚铁盐溶液与烧碱反应制得白色纯净的Fe(OH)2沉淀。若用下图所示实验装置则可制得纯净的Fe(OH)2沉淀。两极材料分别为石墨和铁。 

①a电极材料为      

②电解液d可以是     ,则白色沉淀在电极上生成;也可以是     ,则白色沉淀在两极之间的溶液中生成。 

A.纯水  B.NaCl溶液 C.NaOH溶液  D.CuCl2溶液 

③液体c为苯,在加入苯之前,对d溶液进行加热处理的目的是           。20.(13分)某有机化合物A结构简式如下:

(1)A的分子式是       

(2)A在NaOH水溶液中充分加热后,再加入过量的盐酸酸化后,可得到B、C、D和          

四种有机物,且相对分子质量大小关系为B>C>D。

则B、D的结构式分别是:B:      , D:     

(3)下列物质中,不能与B发生化学反应的是(填写序号)       

①浓H2SO4和浓HNO3的混合液  ②CH3CH2OH(酸催化剂)

③CH3CH2CH2CH3  ④Na   ⑤浓溴水

(4)在B的同分异构体中,属于1,3,5,-三取代苯的化合物的结构简式为     

(5)写出B与碳酸氢钠反应的化学方程式:                  

试题详情

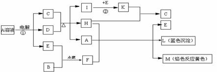
18.(11分)已知B、D、E是单质。根据下列关系,试回答:

(1)写出下列物质的化学式

A:         、L:         、M        

(2)反应①的离子方程式:                    

(3)反应②工业上采取的反应条件:                

试题详情

17.(10分)下图中电极a、b分别为Ag电极和Pt电极,电极c、d都是石墨电极。通电一段时间后,在c、d两极上共收集到336mL(标准状态)气体。回答:

(1)直流电源中,M为          极。

(2)Pt电极上生成的物质的质量为      g。

(3)电源输出电子的物质的量与电极b、c、d分别生成的物质的物质的量之比为:2∶            

(4)AgNO3溶液的浓度(填增大、减小或不变。下同)      ,H2SO4溶液的pH       

(5)若H2SO4溶液的质量分数由5.00%变为5.02%,则原有5.00%的H2SO4溶液为     g。

试题详情

16.用惰性电极电解一定浓度的硫酸铜溶液,通电一段时间后,向所得溶液中加入0.1molCu(OH)2后恰好恢复到电解前的浓度和pH。则电解过程中转移的电子数为   A.0.1mol   B.0.2mol   C.0.3mol   D.0.4mol

第Ⅱ卷(非选择题52分)

试题详情

15.利尿酸在奥运会上被禁用,其结构简式如图所示.下列叙述正确的是

A.利尿酸衍生物利尿酸甲脂的分子式是C14H14Cl2O4

B.利尿酸分子内处于同一平面的原子不超过10个

C.1 mol利尿酸能与7 mol H2发生加成反应

D.利尿酸能与FeCl3溶液发生显色反应

试题详情

14. 若溶液中由水电离产生的(OH)=1×10-14mol·L-1,满足此条件的溶液中一定可以大量共存的离子组是

A.Al3+  Na+  NO3  Cl-            B.K+  Na+  Cl  NO3

C.K+  Na+  Cl-  AlO2            D.K+  NH4+  SO42-  NO3

试题详情

13.加拿大阿尔贡天文台在星际间发现了HC9N链状分子,其结构式为:

CH≡C-C≡C-C≡C-C≡C-C≡N,这是人类发现的最重的星际有机分子,有关该分子的说法不正确的是

A.该物质属于不饱和烃 

B.该分子中碳、氮原子最外层电子都满足8电子稳定结构

C.该分子中所有原子都处在一条直线上

D.1mol该物质在一定条件下可与10molH2发生加成反应

试题详情

12.下列除去括号中杂质的操作中,错误的是

A.乙醇(水) :加CaO蒸馏    

B.福尔马林(甲酸) :加Na2CO3固体蒸馏

C.苯(己烯) :加蒸馏水振荡,用分液漏斗分离

D.乙酸乙酯(乙酸) :加饱和Na2CO3溶液,用分液漏斗分离

试题详情

11.氢氧燃料电池以H2为还原剂,O2为氧化剂,电极为多孔镍,电解液为30%的KOH溶液,下列有关叙述正确的是

①负极反应为4OH-4e= O2+2H2O       

②负极反应为H2+2OH-2e= 2H2O 

③工作时正极区pH升高,负极区pH降低 

④工作时溶液中阴离子移向正极 

A.③④    B.②③    C.②④    D.①④ 

试题详情


同步练习册答案