0  181364  181372  181378  181382  181388  181390  181394  181400  181402  181408  181414  181418  181420  181424  181430  181432  181438  181442  181444  181448  181450  181454  181456  181458  181459  181460  181462  181463  181464  181466  181468  181472  181474  181478  181480  181484  181490  181492  181498  181502  181504  181508  181514  181520  181522  181528  181532  181534  181540  181544  181550  181558  447090 

读下面“人口相等的四座城市某年人口变动资料图”,完成25-26题。

25.有关这四座城市人口自然增长率和人口数量的叙述正确的是

   A.人口自然增长率①<③<②<④

B.人口自然增长率①>③>②>④

C.人口数量增长最多的是④ 

D.人口数量增长最少的是③

26.①城市存在较为严重的人口问题,其原因可能是

A.实行计划生育 

B.医疗卫生事业进步,预期寿命延长

C.鼓励晚婚晚育

D.已进入“低低低”的增长模式

试题详情

我国东部地区的主要锋面雨带,通常位于西太平洋副热带高压脊线以北5-8个纬度距离处,并随西太平洋副热带高压的北进南退而移动。下图为“西太平洋副热带高压脊线位置示意图”。读图回答23-24题。

23.当西太平洋副热带高压脊线移到图示位置时

A.长江三角洲地区都吹东北风       B.副热带高压南侧洋面处于台风活动期

C.台湾海峡受上升气流影响而多雨      D.华北地区干燥少雨

24.下列诗句描述的降水情景,可能出现在图示时期的是

A.清明时节雨纷纷             B.黄梅时节家家雨  

C.雨滴梧桐秋夜长             D.清风细雨湿梅花

试题详情

(二)双项选择题:本大题共10小题,每小题3分,共30分。在每小题给出的四个选项中,有两项是符合题目要求的。每小题全选对者得3分,只选一项且选对者得1分,其余情况均不得分。

下图中甲、丙在晨线上,此时地球位于远日点附近。回答21-22题

21.该时刻太阳直射点的位置在

   A.南半球   B.北半球   C.东半球   D.西半球

22.对图中的甲、乙、丙、丁各地情况的叙述正确的是

   A.甲地白昼时间比乙地长    B.甲地正午太阳高度角可达90°

  C.各地夜长乙>丙>丁     D.各地日出的先后顺序是甲、乙、丙

试题详情

读几个地区农业基本情况比较表,完成18-20题。

图7
 
地 区
种植业比重
畜牧业比重
商品率
投入劳动力数量

86%
14%
20%


45%
55%
90%


8%
92%
89%

18.①地区的农业地域类型可能是

A.水稻种植业 B.混合农业  C.商品谷物农业 D.种植园农业

19.与②地区农业相似的地区是

A.刚果盆地    B.四川盆地    C.大自流盆地    D.墨累-达令盆地

20.提高③地区土地载畜量的合理措施是

A.提高机械化水平           B.充分利用水资源 

C.建设高质量的人工草场        D.合理开垦当地土地

试题详情

下图为某城市功能分区示意图,图中字母代表功能区,该城区有一条河流穿过。据此回答16-17题。

16.若该城市各功能区布局合理,则f最有可能是

A.住宅区      B.文化区       C.工业区    D.中心商务区

17.若a、g均为住宅区,下列叙述正确的是

A.g环境优于a             B.a地价高于g

C.g人口密度大于a           D.影响a、g分化的主要原因是行政因素

试题详情

人类活动会导致某些自然要素的变化,进而带动其它要素的变化,其中水是比较容易受人类干扰的自然要素。根据以下材料,完成14-15题。

14.读上图表,判断方框I、Ⅱ、Ⅲ、Ⅳ相应内容的排序正确的是

①土壤水增多②库区蒸发量增大③蒸腾加强④植被覆盖率增大

A.①③②④     B.②④①③     C.①④②③     D.①④③②

15.图中各地理要素之间的关系体现了地理环境的

A.整体性特征    B.区域性特征     C.差异性特征    D.不稳定性特征

试题详情

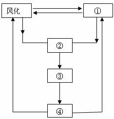
下图是五种外力相互联系、相互影响的示意图,读图回答12-13题。

12.沙尘暴、泥石流属于哪种外力作用(    )

A.①    B.②    C.③    D.④

13.除风化作用外,对地表地貌景观影响较大的外力作用是(   )

A.①②            B.①③      

C.②③           D.③④

试题详情

下列两幅图表现了雨水的两种不同处理方式,读图并完成第10-11题。

10.上图表现的雨水处理方式,所起到的良性作用是

    ①减缓城市涝灾                    ②缓解城市缺水   

    ③减少雨水和污水的汇流             ④有利于实现雨水的资源化

    ⑤完善城市区域的水循环             ⑥完善城市的水生态环境

    A.①②③④       B.②③④⑤       C.③④⑤⑥       D.①②⑤⑥

11.上图显示的雨水处理方式,所起到的作用主要是                       

    A.在一定程度上恢复城市的水循环中的下渗

    B.在一定程度上恢复城市的水循环中的径流

    C.在一定程度上恢复城市的水循环中的蒸发

    D.在一定程度上恢复城市的水循环中的蒸腾

试题详情

读济南市某时段气温和昼长变化示意图,回答7-9题。

7.下图正确反映济南市该时段气压变化的是                

8.济南市空气质量预报“12日污染指数:4级,不利于污染物扩散,”原因最有可能是

    A.大气污染物排放量大          B.冷空气过境近地面大气出现逆温现象

    C.风力大                 D.城市多高大建筑,空气流动不通畅

9.此时我国各地可能出现的现象是

    A.齐鲁大地--赤日炎炎似火烧            B.长城内外--千里冰封,万里雪飘

    C.江淮平原--草长莺飞二月天         D.太行群山--霜叶红于二月花

试题详情

读“非洲部分地区某月等温线图”回答4-6题。

4.此图可表示的月份是 

    A.一月                                 B.三月

    C.七月                                 D.无法判断

5.导致①、②两地气温差异的最主要因素是

    A.海陆热力差异                          B.洋流  

C.地形                                 D.太阳直射点位置

6.导致此图等温线分布不以赤道对称的最主要因素是

    A.地形          B.气候          C.海陆差异       D.太阳直射点位置

试题详情


同步练习册答案