0  185268  185276  185282  185286  185292  185294  185298  185304  185306  185312  185318  185322  185324  185328  185334  185336  185342  185346  185348  185352  185354  185358  185360  185362  185363  185364  185366  185367  185368  185370  185372  185376  185378  185382  185384  185388  185394  185396  185402  185406  185408  185412  185418  185424  185426  185432  185436  185438  185444  185448  185454  185462  447090 

6.男性红绿色盲基因只能从母亲那里传来,以后只能传给女儿。这种遗传特点,在遗传学上叫做                           (   )

    A.伴性遗传     B.连续遗传      C.限雄遗传      D.交叉遗传

试题详情

5.孟德尔获得成功的原因有                                          (   )

  ①正确选用豌豆作为实验材料        ②研究时采用单因素到多因素的方法

  ③用统计学方法分析实验结果        ④科学地设计了实验程序

    A.①③④        B.①②③         C.②③④         D.①②③④

试题详情

4.在遗传学上,把杂种后代中显现不同性状的现象叫做                     (   )

    A.显性和隐性     B.相对性状    C.性状分离        D.遗传规律

试题详情

3.孟德尔遗传规律不适合于原核生物,是因为原核生物                     (   )

    A.没有遗传物质          B.没有核物质  

    C.没有完善的细胞器         D.一般进行无性生殖

试题详情

2.孟德尔在遗传杂交实验中以豌豆作为实验材料,是因为豌豆是              (   )

    ①自花传粉       ②异花传粉        ③闭花受粉       ④品种间性状差异显著

    A.①②③        B.②③④        C.①③④                    D.①③

试题详情

1.下列表示等位基因的是                                            (   )

    A.Y和Y         B.Y和y        C.y和y         D.X和Y

试题详情

2.每天用灌胃法给予甲组鼠灌喂一定量的甲状腺激素溶液,给予乙组鼠灌喂   

         ,在相同且适宜的环境下饲养一定时间,测定相关数据并记录结果。

  (4)结果预测:步骤1的测定结果是:              

     步骤2的测定结果是:                   

     结论:                           

试题详情

1.将实验鼠随机分为数量相等的甲、乙两组,并分别用给出的仪器,测定并记录它们单位时间的      

试题详情

31.(18分)

    为了验证甲状腺激素具有促进新陈代谢的生理作用,请你根据给出的实验材料和用具,完善实验步骤,并预测实验结果和结论。

  (1)材料和用具:日龄相同体重相近的雄性     (幼年、成年或老年)大白鼠若干只,甲状腺激素溶液,蒸馏水,灌胃器,耗氧量测定装置等。

  (2)实验原理;甲状腺激素具有促进新陈代谢,加速体内物质的    的作用。因为甲状腺激素是含      元素的氨基酸的衍生物,故可直接选用  

        (饲喂法/注射法)。

  (3)方法与步骤:

试题详情

30.(24分)

    Ⅰ.(12分)随着2008年的到来,北京提出“绿色奥运”的口号。“绿色”的含义除了包括城市绿化、绿色生活方式与消费理念外,还应包括尊重自然、珍惜生命,追求天人合一的生态伦理道德等。“绿色城市”需要从我做起,从身边的小事做起。

    (1)近年来城市的绿地面积和人均绿地面积在逐年上升,你认为,大量引进非本地树种、草种,在短期内,该物种的数量将会      ,有可能会产生本地物种的生存受到威胁的不利后果。

    (2)垃圾就是被人们放错了地方的资源,实现垃圾的“减量化、资源化和无害化”是绿色城市的重要标志之一。下图是垃圾资源化、无害化处理的一种方案。

此方案中①、②、③过程需要每一位市民的参与,具体的做法是将生活垃圾分类处理。④、⑤过程利用的生物属于生态系统的何种成分?     。从对资源的充分利用角度看,④、⑤途径优于③途径的原因是     (合理理由一条即可)。图中④、⑤途径的实质是利用微生物的     进行的。

     (3)“绿色城市”要求人类改变自己的生产和生活方式,在物质方面实现(   )

A.原料-产品-废品       B.原料-产品-原料-产品

C.原料-废品-产品       D.原料-产品-商品

     (4)经⑥过程产生的单细胞蛋白可通过     进行分离、提纯。

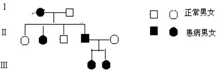
    Ⅱ.(12分)下图是某一家族的遗传系谱,请分析回答有关问题:

(1)该遗传系谱最可能是哪一类型遗传病                         (   )

   A.常染色体显性遗传        B.常染色体隐性遗传

C.X染色体显性遗传         D.X染色体隐性遗传

(2)根据上述推断,请写出系谱图中女性患者的基因型(致病基因用A、a来表示)

          ,男性患者的基因型       

(3)根据上述推断,如果第二代中的这对夫妇再生一个患病孩子的概率是      

          ;从优生学角度考虑,他们最好选择生一个       (男孩/女孩),以降低他们的子女遗传病的发病概率,说明理由:      

试题详情


同步练习册答案