0  195283  195291  195297  195301  195307  195309  195313  195319  195321  195327  195333  195337  195339  195343  195349  195351  195357  195361  195363  195367  195369  195373  195375  195377  195378  195379  195381  195382  195383  195385  195387  195391  195393  195397  195399  195403  195409  195411  195417  195421  195423  195427  195433  195439  195441  195447  195451  195453  195459  195463  195469  195477  447090 

7.如图3所示,浸在水中的A物体的质量为3kg,B物体的质量为2kg,且整体处于静止状态,弹簧测力计自身重力不计。下列说法正确的是(  )

A.弹簧测力计的示数为19.6N

B.物体A浸在水中的体积为500cm3

C.物体A处于平衡状态

D.物体B受到的重力和B对绳的拉力是一对平衡力

试题详情

6.下列关于光现象的说法中,正确的是(  )

A.照相机照相时在底片上成倒立、放大的实像

B.老花镜的焦距可以在太阳光下用刻度尺粗略测出

C.白光下的一件红色衣服在只有绿光的房间内是黑色的

D.彩色电视机画面上的色彩是由色光三原色混合而成的

试题详情

5.如图2所示,当开关S闭合后,滑动变阻器的滑片向左移动时,下列说法正确的是(  )

A.螺线管磁性减弱,弹簧变长   B.螺线管磁性减弱,弹簧变短

C.螺线管磁性增强,弹簧变长   D.螺线管磁性增强,弹簧变短

试题详情

4.下列四幅图中,符合安全用电常识的是(  )

 

试题详情

3.工人们为了搬运一个笨重的机器进入厂房,他们设计了如图1所示的四种方案(机器下方的小圆表示并排放置的圆形钢管的横截面)。其中最省力的方案是(  )

 

试题详情

2.对下列常见现象的解释,正确的是(  )

A.热胀冷缩,是因为分子的大小随温度的变化而变化

B.破镜难圆,是因为分子间有斥力

C.花香四溢,是因为分子在不停地做无规则运动

D.尘土飞扬,是因为分子在不停地做无规则运动

试题详情

1.下列说法正确的是(  )

A.只要物体振动,人耳就一定能听到其发出的声音

B.固体、液体和气体都能传播声音

C.闪电和雷声都可以在真空中传播

D.乐器发出的声音一定不是噪声

试题详情

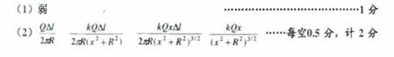
14.(09·青岛)演绎式探究:

现在,叶子和小雨要研究有关电场强弱的问题:

 (1)电场强度:

我们知道,磁体周围存在磁场;同样,带电体周围存在电场。我们用电场强度E表示电

场的强弱。在电场中各点E的大小一般是不同的,E越大,表示该点电场越强。不同点E的方向也一般不同。

如图所示,若一个小球带的电量为q,则与其距离为r的A点处的电

场强度大小为E=k (k为常数),这说明距离带电体越远,电场越________。A点处E的方向如图中箭头所示。

 (2)环形带电体的电场强度:

如图所示,有一个带电均匀的圆环,已知圆环的半径

R,所带的总电最为Q。过圆环中心O点作一垂直于圆环平面的直线,那么在此直线上与环心相距为xP点处的电场强度EP的表达式是怎样的呢?

小雨首先把圆环均匀分割为许多等份,每一等份的圆弧长度为,则每一等份的电量

为____________;每一等份可以看作一个带电小球,则每一等份在P点所产生的电场强度的大小为E1=_____________;E1沿着OP方向的分量_________。

EP的大小等于圆环上所有等份的E1x大小之和,即EP=________。

答案:

试题详情

13.(09·青岛)设计与制作:

给你一只弹簧,两个相同的平底试管,足量的水。请你将一架托盘天平改造成一个可以粗略测量小固体块密度大小的装置(ρ)。

要求配图说明:(1)装置:(2)刻度原理;(3)使用步骤。

答案:

试题详情

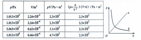
12.(09·青岛)归纳式探究:

叶子探究在温度为0℃条件下,一定质量的氮气的压强和体积的关系。她将压强由1.013

×l05Pa增加到1.013×108Pa的过程中,得到如下实验数据(其中a、b对氮气来说是常数):

(1)由上述实验数据可以得到如下公式:_________=K (K为常数),其中K=_______(写上单位)。由数据形式变为公式形式运用了____________法。

 (2)在压强由1.013×l05Pa增加到1.013×l07Pa的过程中,我们可以将公式简化为____________,则这时的p-V关系可以用图像中的图线________来表示。

 (3)实验中若氮气的压强为1.013×l06Pa,则它的体积为_________m3

答案:

 

试题详情


同步练习册答案