0  195282  195290  195296  195300  195306  195308  195312  195318  195320  195326  195332  195336  195338  195342  195348  195350  195356  195360  195362  195366  195368  195372  195374  195376  195377  195378  195380  195381  195382  195384  195386  195390  195392  195396  195398  195402  195408  195410  195416  195420  195422  195426  195432  195438  195440  195446  195450  195452  195458  195462  195468  195476  447090 

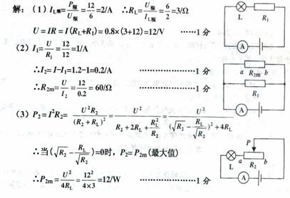
11.(09·青岛)如图所示电路,电源电压不变,R1=12Ω,小灯泡标有“6V12W”(电阻不变)。求:

(画出下列每小题的等效电路图)

 (1)只闭合Sl时,电流表示数为0.8A,则电源电压为多大?

 (2)当Sl、S2、S3都闭合时,将滑片P移动到b端,电流表的示数为1.2A,则滑动变阻器的最大阻值是多少?

 (3)只闭合S2时,移动滑片P,使滑动变阻器所消耗的功率为它最大功率的3/4此时电流表的示数是多少?

答案:

专题六:创造与探究(本专题满分8分,共3个小题,第12小题3分,第13小题2分,第14小题3分)

试题详情

10.(09·青岛)如图所示,水池池壁是一个斜面,池中装有深度为h的水,池底a点到水面b点之间的距离为l。现要将一质量为m的铁块从a匀速拖到b,此过程中斜面的机械效率为η。水和铁块的密度分别是ρ和ρ。求:

(1)铁块在池底所受的水对它的压强p;(2)将铁块从a拖到b所做的有用功W;(3)拖动过程中铁块所受的阻力f。

答案:

试题详情

9.(09·青岛)综合作图:

   请你按要求改进如图所示的“测定油箱内油量的装置”:

   (l)器材:电磁继电器(如图),若干导线,若干电源,若干触点,红、绿灯泡各1只。

   (2)要求:①通常情况下,绿灯亮、红灯灭;②储油过少时,绿灯灭、红灯亮。

(3)请将电路设计填画在原图上(电路元件用电路符号表示,其余元件用示意图表示)。

答案:

专题五:综合计算(本专题满分9分,共2个小题,第10小题4分,第11小题5分)

试题详情

8.(09·青岛)综合问答二:

   民间有一种古老的捕熊方法:在树上放一箱蜂蜜,树的中央用绳索吊一大截木头,在树下地上埋一些尖的橛。蜂蜜的香味会招来贪吃的黑熊,当它爬到树中间时,被木头挡住去路。熊将木头推开,木头落下时打在熊头上。熊又用更大的力将木头推开,木头更重地打在它头上。熊被激怒了,不断与木头进行重复战斗,最终力竭从树上掉下来,落在尖锐的橛上而被捕获。

   请你运用所学的1个物理知识,解释上述黑体字部分所描述的整个过程。

答案:熊将木头推开,动能转化为势能;木头落下时打在熊头上,势能又转化为动能。(熊又用更大的力将木头推开,更多的动能转化为更多的势能,木头更重地打在它头上,势能又转化为动能。)因此熊被激怒了。

试题详情

7.(09·青岛)综合问答一:

  暑假,小雨到海边码头,看到渔民将小鱼虾摊在地上晾晒,准备做成干货。对于准备马上

卖的大鱼虾,因为天热怕其变质,不断用凉水使其降温。小雨发现,今天的海鲜腥味儿比春节前来时浓重多了。请你运用2个物理知识,分别解释上述场景中的相关现象。

(1)解释现象一:            (2)解释现象二:

答案:(1)解释现象一:将小鱼虾摊在地上晒,增大了其中水分的表面积,从而加快了水分的蒸发,以便做成干货。

(2)解释现象二:夏天比冬天气温高,海鲜散发出的分子运动加快,因此暑假闻到的海鲜的腥味比春节前来时浓重多了。

试题详情

6.(09·青岛)运用知识解决问题;

 (1)由焦耳定律可知,在电流和通电时间相同时,电流产生的热量与____成正比。电炉丝与插头处的导线是串联的,通过的电流和通电时间都相同,而电炉丝的电阻比插头处导线的电阻________,电流产生的热量较多。因此电炉丝热得发红,而插头处的导线却不很热。

(2)小雨连接了如图电路,请在方框内画出它的电路图。

(3)将R1=4Ω的电阻和R2=6Ω的电阻串联,接在12V的电源上,求:

①总电阻R;②电路中的电流I;③R1两端的电压Ul

答案:

(1)电阻  大

(2)如图

(3)

专题四:综合问答与作图(本专题满分8分,共3个小题,第7小题4分,第8小题2分,第9小题2分)

试题详情

5.(09·青岛)回顾实验和探究:

 (1)叶子和小雨在探究“欧姆定律”的实验时:

  ①他俩提出的问题是:导体中的电流与电压、电阻有什么关系?

  ②根据经验,他俩猜想:导体中的电流,跟导体两端的电压成正比,跟导体的电阻成反比。

  ③实验过程如下:

  a.他俩按如下电路图连接电路。请将电路图填画完整。

  b.用R1=5Ω的定值电阻做实验,发现当电压表示数分别为0.8V、1.6V、2.4V时,对应电

流值分别为0.16A,0.32A和如图电流表的示数。请你在方框内设计表格并将实验数据整理上。

c.换用R2=l0Ω的定值电阻,重复上述实验。 

④通过分析,他俩验证了猜想的正确性,得出了欧姆定律。

他俩经历的思维程序为:提出问题、__________、实验检验、归纳分析、得出结论

  (2)在上述探究中发现:对同一个导体,等的值  ,而这个值就

是导体的电阻;不同的导体,的值一般不同。可见,电阻是导体本身的一

种特性,它的大小与________和_______无关。于是,他俩用如图电路验证“影响电阻大小的因素”,在M、N两点之间接入粗细相同而长度不同的镍铬合金丝。实验发现:镍铬合金丝越长,灯泡越暗,说明电阻越_______。这种显示电阻大小的方法是___________法。

   (3)在上述实验(1)的电路中,将定值电阻换成螺线管,通电后吸引大头针,发现当滑  片向左移动时,吸引大头针的数目___________。实验说明:电流越大,通电螺线管磁性越强。

答案:

④猜想 

(2)相同  电压  电流  大  转换

(3)增多

试题详情

4.(09·青岛)运用知识解决问题:

 (1)向两张纸片中间吹气,使纸片之间的空气流速变_______,从而使纸片

之间的气压变_______,所以两张纸片会相互_______。

 (2)如图所示,使用羊角锤拔钉子,请在图中画出动力臂。

 (3)体积为1×10-3m3的酒精,质量为_kg。将它倒入一个质量为0.2kg、底面积为1×l0-2m2的平底容器中,放在水平桌面上,容器对桌面的压强为__________ Pa(ρ酒精=0.8×103kg/m3)。

答案:(1)大(快)  小  靠近

   (2)图略

   (3)0.8   1×103

专题三:电与磁(本专题满分17分,共2个小题,第5小题10分,第6小题7分)

试题详情

3.(09·青岛)回顾实验和探究:

(1)叶子和小雨在探究“密度概念的建构”的实验时,得到如下数据:

①比较l、2两次实验数据,可得出结论:同种物质的质量与体积的比值是____的;

比较2、3两次实验数据,可得出结论:不同物质的质量与体积的比值一般是____的。

②由上述实验我们引入了密度的概念。可见,密度是物质本身的一种特性,与物体的质量和体积____(填“无关”或“有关”)。

③上述实验图像如图所示,图像中的图线__________反映了铝块实验情况。

(2)叶子在探究“阿基米德原理”的实验时,准备了如下器材:小铁块

  细线、盛满水的溢水杯、小桶和_________。实验步骤如下:

①测出被排开的水所受的重力G

②把小铁块浸入盛满水的溢水杯中,并用小桶收集小铁块所排开的水;同时读出此时弹簧测力计示数F,算出物体所受浮力F=____________;

⑨用弹簧测力计测出小铁块所受的重力G;

④分析数据,得出结论:F________G。  

上述步骤的正确排序为:____________________。请将步骤中空格填好。

(3)小雨用弹簧测力计沿水平方向拉着木块,分别在毛巾和棉布表面上做匀速直线运动,

发现在_________表面上测力计示数较大。实验说明:在压力一定时,接触面越___________,摩擦力越大。

答案:(1)①相同  不同  ②无关   ③a

   (2)弹簧测力计   ②G-F   ④=    ③②①④

   (3)毛巾  粗糙

试题详情

2.(09·青岛)运用知识解决问题:

  (1)我们看到树叶是绿色的,是因为树叶只反射_________色光。

  (2)如图所示,光线沿水平方向射向与水平面成300角的平面镜上。请在图中画出反射光线,并标明反射角的度数。

 (3)将质量为4kg的水,从10℃加热到60℃,吸收了__________J的热量。

答案:(1)绿   (2)图略  (3)8.4×105

专题二:力与运动(本专题满分16分,共2个小题,第3小题10分,第4小题6分)

试题详情


同步练习册答案