0  252937  252945  252951  252955  252961  252963  252967  252973  252975  252981  252987  252991  252993  252997  253003  253005  253011  253015  253017  253021  253023  253027  253029  253031  253032  253033  253035  253036  253037  253039  253041  253045  253047  253051  253053  253057  253063  253065  253071  253075  253077  253081  253087  253093  253095  253101  253105  253107  253113  253117  253123  253131  447090 

由于四次函数的导函数为三次函数,所以四次函数的问题往往转化为三次函数问题

例4: 已知函数有三个极值点。

(I)证明:

(II)若存在实数c,使函数在区间上单调递减,求的取值范围。

总结:四次函数的导数是三次函数,有三个极值点说明三次函数有三个相异的实数根。可以归结为三次函数图象与x轴有三个交点问题,可以利用第一部分很好的解决

例5:已知函数

(1)求函数的单调区间;

(2)若函数的图像与直线恰有两个交点,求的取值范围.

只要我们掌握了三次函数的这些性质,在高考中无论是主观题还是客观题,都能找到明确的解题思路,解题过程也简明扼要。四次函数问题,应该先求导,转化为三次函数问题,一般通过极值等手段解决,这些对大家来讲都是很容易的。

五当堂检测

1(09北京文)(本小题共14分)

设函数.

(Ⅰ)若曲线在点处与直线相切,求的值;

(Ⅱ)求函数的单调区间与极值点.

2(09江西文)(本小题满分12分)

设函数.     

(1)对于任意实数恒成立,求的最大值;

(2)若方程有且仅有一个实根,求的取值范围.

3.(09全国理)本小题满分12分。(注意:在试题卷上作答无效)

设函数在两个极值点,且

(I)求满足的约束条件,并在下面的坐标平面内,画出满足这些条件的点的区域;

(II)证明:

试题详情

例1.讨论关于x的方程根的个数.

例2:设为实数,函数

(Ⅰ)求的极值;

(Ⅱ)当在什么范围内取值时,曲线轴仅有一个交点.

例3. 已知是函数的一个极值点。

⑴求;  ⑵求函数的单调区间;

⑶若直线与函数的图象有3个交点,求的取值范围。

试题详情

5.(09福建卷理)若曲线存在垂直于轴的切线,则实数取值范围是_____________.

试题详情

4.(09江苏卷)在平面直角坐标系中,点P在曲线上,且在第二象限内,已知曲线C在点P处的切线的斜率为2,则点P的坐标为    .

试题详情

3.(09重庆文)把函数的图像向右平移个单位长度,再向下平移个单位长度后得到图像.若对任意的,曲线至多只有一个交点,则的最小值为   .

试题详情

2.(09江西文)若存在过点的直线与曲线都相切,则=      .

试题详情

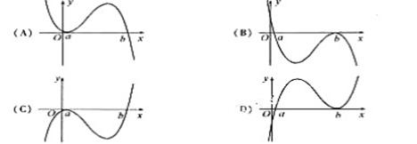
1.(09安徽理)设<b,函数的图像可能是    (

 

试题详情

2.极值情况:

三次函数(a>0),

导函数为二次函数

二次函数的判别式化简为:△=

(1) 若___________,则上为增函数;

(2) 若____________,则上为增函数,上为减函数,其中.

三次函数,

(1) 若,则在R上无极值;

(2) 若,则在R上有两个极值;且处取得极大值,在处取得极小值.

由此三次函数的极值要么一个也没有,要么有两个。

试题详情

 
三  次  函  数  图  象
说      明
 
 
a对图象
的影响


可以根据极限的思想去分析
当a>0时,在+∞右向上     伸展,-∞左向下伸展。
当a<0时,在+∞右向下
伸展,-∞左向上伸展。
 
 
 
 
与x轴有三个交点


,且,既两个极值异号;图象与x轴有三个交点
 
 
 
与x轴有二个交点


 若,且,既有一个极值为0,图象与x轴有两个交点
 
 
 
 
与x轴有一个交点


1。存在极值时即,且,既两个极值同号,图象与x轴有一个交点。2。不存在极值,函数是单调函数时图象也与x轴有一个交点。

1.根的个数

三次函数

导函数为二次函数:

二次函数的判别式化简为:△=___________,

(1) 若_____________,则恰有一个实根;

(2) 若,且_________,则恰有一个实根;

(3) 若,且__________,则有两个不相等的实根;

(4) 若,且____________,则有三个不相等的实根.

说明(1)(2)含有一个实根的充要条件是曲线与X轴只相交一次,即在R上为单调函数(或两极值同号),所以(或,且).

(3)有两个相异实根的充要条件是曲线与X轴有两个公共点且其中之一为切点,所以,且.

(4)有三个不相等的实根的充要条件是曲线与X轴有三个公共点,即有一个极大值,一个极小值,且两极值异号.所以.

试题详情

  三次函数已经成为中学阶段一个重要的函数,在高考和一些重大考试中频繁出现有关它的单独命题。近年高考中,在江苏卷、浙江卷、天津卷、重庆卷、湖北卷中都出现了这个函数的单独命题,不仅仅如此,通过深化对三次函数的学习,可以解决四次函数问题。近年高考有多个省份出现了四次函数高考题,更应该引起我们的重视。单调性和对称性最能反映这个函数的特性。下面我们就来探讨一下它的单调性、对称性以及图象变化规律。

试题详情


同步练习册答案