0  263186  263194  263200  263204  263210  263212  263216  263222  263224  263230  263236  263240  263242  263246  263252  263254  263260  263264  263266  263270  263272  263276  263278  263280  263281  263282  263284  263285  263286  263288  263290  263294  263296  263300  263302  263306  263312  263314  263320  263324  263326  263330  263336  263342  263344  263350  263354  263356  263362  263366  263372  263380  447090 

9.2010年3月14日温家宝在就台湾问题回答记者提问时说:“不要因为50年的政治而丢掉5000年的文化”。这充分体现了

①传统文化具有鲜明的民族性

②传统文化是维系民族生存与发展的精神纽带

③中华文化具有强大的震撼力和凝聚力

④文化的力量远远大于政治的力量

A.①②③     B.①②④    C.①③④    D.②③④

试题详情

8.在2009年,多年来以引进剧节目为票房和观众主体的演出市场,悄悄让位给本土原创。本土原创艺术展现的人文情怀,以及体现出中西融合西为中用的优势,更能引起文化层面的共鸣。可见

①文化创新是文化继承和发展的根基

②立足社会实践是文化创新的根本途径

③文化创新必须坚持以我为主、为我所用

④文化创新必须面向世界,博采众家长

A.①②       B.②④     C.③④      D.①③

试题详情

7.国家主席胡锦涛在2009年世界媒体峰会开幕式上致辞指出,世界各种形态媒体,不分文化异同、水平高低、规模大小,应该相互尊重、相互信任、平等相处、求同存异、交流互鉴。这表明

①要遵循各国文化一律平等的原则

②大众传媒是现代文化传播的主要手段

③世界媒体峰会是文化交流的主要途径

④要承认和尊重世界文化的多样性

A.①②       B.②④     C.①④      D.①③

试题详情

欧罗巴利亚中国艺术节2009年10月8日在比利时布鲁塞尔开幕,并将一直持续到2010年2月14日,这是继中法文化年之后,中国在欧洲举办的最大规模文化活动。回答5-6题。

5.中国之所以能在欧洲举办文化活动,是因为

A.中国文化是世界文化的主导

B.欧洲各国一向崇尚中国文化

C.文化是民族的又是世界的

D.文化融合是文化交流的结果

6.举办欧罗巴利亚中国艺术节,有利于

①加深其他国家人民对中国的了解

②推动现代信息技术的进步

③促进中华文化的传播与发展

④提升我国文化的影响力和竞争力

A.①②③     B.①②④    C.①③④    D.②③④

试题详情

4.纪念圆明园罹难150周年筹委会表示,2010年10月18日将邀多国嘉宾出席纪念圆明园罹难150周年纪念活动,一同纪念和保护这一人类共同的文化遗产。对这一文化遗产认识正确的是

①是各个国家和民族的财富,对研究人类文明的演进没有意义 

②对于展现世界文化的多样性具有独特的作用  

③是一个国家和民族历史文化成就的重要标志  

④是一个国家民族精神的集中展示

A.①②  B.②③   C.③④   D.①④

试题详情

3.2010年山东省将启动孔子博物馆和孔子学院总部国际青少年研修基地项目。下列对待孔子文化的正确态度是

①取其精华,去其糟粕   ②批判继承,古为今用

③求同存异,兼收并蓄   ④立足实践,推陈出新

A.①②③     B.①②④    C.①③④    D.②③④

试题详情

2.某地木板年画的模具传统是木板手工雕刻,但为了印刷的速度和降低成本,开始进行平板机器印刷;同样某地制作皮影,为了最求速度和利润,开始了机器压制制作。这将导致

①正宗的传统手工工艺受到冲击

②宝贵的非物质文化遗产渐趋流失

③传统文化不再具有商业开发价值

④经济发展为文化开发创造新机遇

A.①②     B.①③    C.③④    D.②③

试题详情

1.2009年底到2010年初,我国预计建成24万到30万家农家书屋,覆盖全国40%到50%的行政村。之所以建设农村书屋,是因为

A.文化是一种社会精神力量

B.文化是人类所特有的现象

C.文化是人类的全部精神活动

D.文化由一定的经济、政治所决定

试题详情

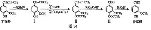
33.(16分)香草醛是食品添加剂的增香原料,可由丁香酚经以下反应合成香草醛。

 (1)写出香草醛分子中含氧官能团的名称         (任意写两种)。  

 (2)下列有关丁香酚和香草醛的说法正确的是         

   A.丁香酚既能发生加成反应又能发生取代反应

   B.香草醛中-OH能被酸性K2Cr2O7氧化

   C.丁香酚和化合物I互为同分异构体

   D.1 mol香草醛最多能与3 mol氢气发生加成反应

 (3)写出化合物Ⅲ→香草醛的化学方程式            

 (4)乙基香草醛(其结构见图l5)也是食品添加剂的增香原料,它的一种同分异构体A属于酯类。A在酸性条件下水解,其中一种产物的结构见图l6。A的结构简式是      

试题详情

32.(16分)

(1)大气中SO2含量过高会导致雨水中含有(填化学式)       而危害植物和建筑物。工厂排放的SO2尾气用饱和Na2SO3溶液吸收可得到重要化工原料NaHSO3,反应的化学方程式为____________

(2)已知NaHSO3的水溶液显酸性,比较其中SO32-、 HSO3-、H2SO3三种粒子的浓度,最大的是________,最小的是________。

 (3) SO2是空气质量报告的指标之一,可用SO2还原KIO3生成I2的反应测定空气中SO2含量。每生成0.01 molI2,参加反应的SO2      mol。

 (4)已知25℃时,Ksp(BaSO4) =1. 1 x10-10,Ksp (BaCO3)=2.6 xl0-9。下列说法不正确的是      

  A.25℃时.向BaSO4悬浊液中加入大量水,Ksp (BaSO4)不变

  B.25℃时,向BaSO4悬浊液中加入Na2CO3溶液后,BaSO4不可能转化为BaCO3

 C.向Na2SO4溶液中加入过量BaCl2溶液后,溶液中c(SO42-)降低为零

试题详情


同步练习册答案