0  263881  263889  263895  263899  263905  263907  263911  263917  263919  263925  263931  263935  263937  263941  263947  263949  263955  263959  263961  263965  263967  263971  263973  263975  263976  263977  263979  263980  263981  263983  263985  263989  263991  263995  263997  264001  264007  264009  264015  264019  264021  264025  264031  264037  264039  264045  264049  264051  264057  264061  264067  264075  447090 

3、蓝:Cu2+(aq)、CuSO4·5H2O、

[石蕊遇碱变蓝、氨气遇湿红色石蕊试纸变蓝、淀粉遇碘变蓝]

试题详情

2、黄:硫、FeS2  Na2O2、AgBr、AgI、Fe3+(aq)、碘水

[钠的焰色反应、蛋白质遇浓硝酸变黄]

试题详情

1、红:Fe2O3、Fe(OH)3、Fe(SCN)3、Cu2O、品红、液溴、[酚酞遇碱变红、石蕊遇酸变红、二氧化硫品红溶液加热变红]

试题详情

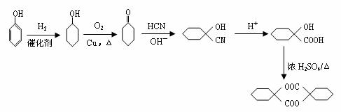
21、有机物的转换关系

  (1)CH3CH3 → CH3CH2Cl → CH2=CH2 → CH3CH2OH → CH2=CH2 → CH3CH2Br → CH3CH2OH → CH3CHO → CH3COOH → CH3COOCH2CH3 → CH3CH2OH → CH2=CH2

(2) →  →  →   →  →  →

(3)

(4)淀粉 → 葡萄糖 → 酒精 →  CO2 

(5)、由 制 

(6)、丁烯酸聚合

(7)、HOOCCH=CHCOOH + 2CH3OH浓硫酸Δ CH3OOCCH=CHCOOCH3 + 2H2O

(9)、用电石和苯制聚苯乙烯塑料

(10)、由丁二烯制 

(11)、由苯酚制

试题详情

20、有机反应类型

取代反应:CH4+Cl2 、CH3CH2Br与NaOH水溶液、CH3CH2OH与HBr、苯与液溴、苯与浓硝酸、苯酚与浓溴水、乙醇与醋酸

   水解反应:溴乙烷、乙酸乙酯、庶糖、淀粉与水的反应

   加成反应:乙烯与溴水、乙烯与氢气、乙烯与水、乙炔与溴水、乙醛与氢气、苯与氢气

   消去反应: 乙醇与浓硫酸并加热、溴乙烷与氢氧化钠的醇溶液并加热

   酯化反应:醇与酸反应生成酯和水

   加聚反应:乙烯聚合

   氧化反应:CH3CH2OH → CH3CHO → CH3COOH

        银镜反应:乙醛、葡萄糖;有机物燃烧

还原反应:不饱和键(双键、三键、苯环、C=O)加氢

试题详情

19、NH4Cl、CuSO4、FeCl3、AlCl3、Na2CO3、NaHCO3、醋酸钠、苯酚钠

试题详情

制金属:电解法-Na、Mg、Al ;CO还原法-Fe;铝热法-Mn、Cr、V

    海水提碘:海带­-海带灰­-滤液-通氯气-萃取-蒸馏-碘。

    粗盐提纯:粗盐-溶解-过量BaCl2-过量Na2CO3-过滤-适量盐酸-蒸发结晶。

    制胆矾(CuSO4·5H2O):粗铜粉-O2+稀硫酸-过滤-蒸发制热饱和溶液­-冷却结晶。

    制绿矾(FeSO4·7H2O):废铁屑-Na2CO3除油-稀硫酸(50~70℃)-趁热过滤-冷却结晶-洗涤-吸干水。

    实验设计:①CuSO4·5H2O  → 无水CuSO4 ,CuSO4 溶液制取CuSO4·5H2O

②MgCl2溶液 →MgCl2·6H2O, MgCl2·6H2O→无水MgCl2 ,无水MgCl2配制MgCl2溶液等应注

意实验事项(氯化铝、氯化铁与其相拟)

③  用氢氧化钠溶液制取碳酸氢钠溶液

④  比较均为0.1mol/L盐酸和醋酸的酸性强弱 

试题详情

18、电解氯化铜溶液、电解饱和食盐水、精炼铜、电解氯化镁、电解氧化铝、电解硫酸钠溶液、电解氢氧化钠溶液、电解硝酸银溶液;牺牲阳极法防止金属腐蚀。

试题详情

17、铜-锌(硫酸)电池、铅蓄电池、氢氧燃料电池(氢氧化钾)、甲醇燃料电池(氢氧化钾)、锌-氧化银(氢氧化钾)电池;金属的电化腐蚀。

试题详情

16、Na2S2O3 + H2SO4 CaO+SiO2、KOH+CO2、 KHCO3分解、Ba(OH)2·8H2O + NH4Cl(S)

试题详情


同步练习册答案