0  270168  270176  270182  270186  270192  270194  270198  270204  270206  270212  270218  270222  270224  270228  270234  270236  270242  270246  270248  270252  270254  270258  270260  270262  270263  270264  270266  270267  270268  270270  270272  270276  270278  270282  270284  270288  270294  270296  270302  270306  270308  270312  270318  270324  270326  270332  270336  270338  270344  270348  270354  270362  447090 

27.(14分)常温下,将某一元酸HA和NaOH溶液等体积混合,两种溶液的浓度和混合后所得溶液的pH如下表:

实验编号
HA物质的量
浓度(mol·L-1)
NaOH物质的量
浓度(mol·L-1)
混合溶液的pH

0.2
0.2
pH=a

C1
0.2
pH=7

0.2
0.1
pH>7

0.1
0.1
pH=9

请回答:不考虑其它组的实验结果,单从甲组情况分析,

若a    7(填>、<或=),则HA为强酸;

若a    7(填>、<或=),则HA为弱酸。

(2)在乙组中混合溶液中离子浓度(A-)与(Na+)的大小关系是    

A.前者大   B.后者大   C.二者相等    D.无法判断

(3)从丙组实验结果分析,HA是    酸(选填“强”或“弱”)。

该混合溶液中离子浓度由大到小的顺序是             

(4)丁组实验所得混合溶液中由水电离出的(OH-)=       mol·L-1

试题详情

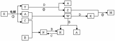
26.(14分)中学化学中几种常见物质的转化关系如图所示(图中部分反应物或生成物及反应条件未列出)。

已知:A、B、C、D是单质,其余是化合物。其中B、D是常见金属,且组成B的元素属于过渡元素。又知A在C中点燃有苍白色火焰,M既可溶于盐酸又可溶于NaOH溶液。请回答下列问题:

(1)W的电子式是_______________。

(2)写出N的化学式       ,并任写一种N的主要用途         

(3)写出下列反应的离子方程式:

   反应①                             

反应③__________________________________________________________,

K溶液和过量氨水反应__________________________________________________。

试题详情

25.(18分)如图所示,真空中有(r,0)为圆心,半径为r的圆柱形匀强磁场区域,磁场的磁感应强度大小为B,方向垂直于纸面向里,在y=r的虚线上方足够大的范围内,有方向水平向左的匀强电场,电场强度的大小为E,从O点向不同方向发射速率相同的质子,质子的运动轨迹均在纸面内,设质子在磁场中的偏转半径也为r,已知质子的电量为e,质量为m,不计重力及阻力的作用,求

(1)质子射入磁场时的速度大小

(2)速度方向沿x轴正方向射入磁场的质子,到达y轴所需的时间

(3)速度方向与x轴正方向成30°角(如图中所示)射入磁场的质子,到达y轴的位置坐标。

试题详情

24. (14分)科研人员乘气球进行科学考察.气球、座舱、压舱物和科研人员的总质量为985kg.气球在空中停留一段时间后,发现气球漏气而下降,及时堵住.堵住时气球下降速度为1m/s,且做匀加速运动,10s内下降了35m. 为使气球再次上升,立即向舱外缓慢抛出一定的压舱物.此后经2分钟气球停止下降而开始上升,若空气阻力和泄漏气体的质量均可忽略,重力加速度g=9.80m/s2,求抛掉的压舱物的质量.

试题详情

23.(10分)在“测定金属丝电阻率”实验中,若粗估金属丝的电阻Rx约为3Ω,为尽可能减小误差,要求金属丝发热功率P<0.75W,备有的部分仪器有:

A.6V电池组               B.电流表(0-0.6A,内阻0.5Ω)

C.电流表(0-3A,内阻0.01Ω)      D.电压表(0-3V,内阻1kΩ)

E.电压表(0-15V,内阻5kΩ)      F.滑动变阻器(0-100Ω,额定电流1A)

G.滑动变阻器(0-20Ω,额定电流1A)

(1)实验中用螺旋测微器测量导线直径时,可估读到_______mm,用毫米刻度尺测量导线长度时,可估读到_______mm;

(2)上述器材中应选用的是___      (用字母代替);

(3)在框内画出电路图; 

(4)在下图中,将各器材连成实验电路。

(计算题:解答应写出必要的文字说明、方程式和重要的演算步骤,只写出最后答案的不能得分。有数值计算的题,答案中必须明确写出数值和单位。

试题详情

22.(5分)⑴科技馆内有一个展品,如图所示,在较暗处有一个不断均匀滴水的水龙头,在一种特殊的灯光照射下,可观察到一个个下落的水滴,缓缓调节水滴下落的时间间隔到适当状态,可看到一种奇特的现象,水滴似乎不在下落,而有如图固定在图中A、B、C、D四个位置不动一般,试分析实际上水滴是否在继续下滴?         。通过图中标尺(单位:)求得这个灯的周期是:    。(g=10m/s2)

 

试题详情

21.如图所示,螺线管M与金属环Q连接,N为闭合金属环,一方向指向纸里的匀强磁场穿过金属环Q。当磁场发生变化时,金属环N受到向左的安培力,则磁场的磁感强度B随时间t变化的情况可能是

 

第二卷  非选择题(174分)

试题详情

20.如图所示,M为水平放置的橡胶圆盘,在其外侧面均匀地带有负电荷.在M正上方用丝线悬挂一个闭合铝环N,铝环也处于水平面中,且M盘和N环的中心在同一条竖直线O1O2上.现让橡胶圆盘由静止开始绕O1O2轴按图示方向逆时针加速转动,下列说法正确的是 

A.铝环N 对橡胶圆盘M的作用力方向竖直向下 

B.铝环N对橡胶圆盘M的作用力方向竖直向上

C.铝环N 有扩大的趋势,丝线对它的拉力增大 

D.铝环N 有缩小的趋势,丝线对它的拉力减小

试题详情

19.如图所示,在绝缘水平面上固定两个等量同种电荷P、Q,在PQ连线上的M点由静止释放一带电滑块,则滑块会由静止开始一直向右运动到PQ连线上的另一点N而停下,则以下说法正确的是

A.滑块受到的电场力一定是先减小后增大

B.滑块的电势能一直减小

C.滑块的动能与电势能之和可能保持不变

D.PM间距一定小于QN间距

试题详情

18.如图所示,木块M上表面是水平的,当木块m置于M上,并与M一起沿光滑斜面由静止开始下滑,在下滑过程中

  A.重力对木块m做正功

  B.木块M对木块m的支持力做负功

  C.木块M对木块m的摩擦力做负功

  D.木块m所受合外力对m做正功。

试题详情


同步练习册答案