0  273317  273325  273331  273335  273341  273343  273347  273353  273355  273361  273367  273371  273373  273377  273383  273385  273391  273395  273397  273401  273403  273407  273409  273411  273412  273413  273415  273416  273417  273419  273421  273425  273427  273431  273433  273437  273443  273445  273451  273455  273457  273461  273467  273473  273475  273481  273485  273487  273493  273497  273503  273511  447090 

22.(本题满分18分,第(1)小题9分,第(2)小题9分)

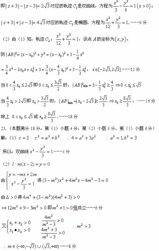
解:(1)方法1:①当为奇数时,,常数

轨迹为双曲线,其方程为;……3分

②当为偶数时,,常数

轨迹为椭圆,其方程为;……6分

依题意得方程组解得

因为,所以

此时轨迹为的方程分别是:.……9分

方法2:依题意得……3分

轨迹为都经过点,且点对应的复数

代入上式得,……6分

,则 

……10分

……12分

(3)设  设存在实数,使为锐角,

 ……14分

因为

……16分

  即 

,与矛盾   不存在……18分

试题详情

于是由图形不难得到,……12分

故两个命题同时为真的实数的取值范围是.……14分

21.(本题满分16分,第(1)小题6分,第(2)小题10分)

解:(1)如图所示,建立平面直角坐标系……2分

由题意得,……4分

所以,抛物线……6分

(2)设抛物线的焦点为     由题意得,……8分

根据抛物线的定义知,公路总长……12分

为线段与抛物线的交点(如图)时,公路总长最小,

最小值为9.806千米……16分

试题详情

23.(本题满分18分,第(1)小题4分,第(2)小题8分,第(3)小题6分)

已知双曲线的一个焦点是,且

(1)求双曲线的方程;

(2)设经过焦点的直线的一个法向量为当直线与双曲线的右支相交于不同的两点时,求实数的取值范围;并证明中点在曲线上.

(3)设(2)中直线与双曲线的右支相交于两点,问是否存在实数,使得为锐角?若存在,请求出的范围;若不存在,请说明理由.

2009学年第二学期测试答案 高二年级

试题详情

22.(本题满分18分,第(1)小题9分,第(2)小题9分)

设复数与复平面上点对应.

(1)设复数满足条件(其中,常数),当为奇数时,动点的轨迹为;当为偶数时,动点的轨迹为,且两条曲线都经过点,求轨迹的方程;

(2)在(1)的条件下,轨迹上存在点,使点与点的最小距离不小于,求实数的取值范围.

试题详情

21.(本题满分16分,第(1)小题6分,第(2)小题10分)

如图,弯曲的河流是近似的抛物线,公路恰好是的准线,上的点的距离最近,且为千米,城镇位于点的北偏东处,千米,现要在河岸边的某处修建一座码头,并修建两条公路,一条连接城镇,一条垂直连接公路以便建立水陆交通网.

(1)建立适当的坐标系,求抛物线的方程;

(2)为了降低修路成本,必须使修建的两条公路总长最小,请给出修建方案(作出图形,在图中标出此时码头的位置),并求公路总长的最小值(精确到0.001千米)

试题详情

20.(本题满分14分)

已知,且以下命题都为真命题:

命题 实系数一元二次方程的两根都是虚数;

命题 存在复数同时满足.

求实数的取值范围.

试题详情

19.(本题满分12分,第(1)小题6分,第(2)小题6分)

如图,在棱长为1的正方体中,是棱的中点,

(1)求证:

(2)求与平面所成角大小(用反三角函数表示).

试题详情

18.已知直线及平面,其中mn,那么在平面内到两条直线距离相等的点的集合可能是:(1)一条直线;(2)一个平面;(3)一个点;(4)空集.其中正确的是(   )

(1)(2)(3)   (1)(4)   (1)(2)(4)   (2)(4)

试题详情

17.在复平面内,若复数对应的向量为,复数对应的向量为,则向量对应的复数是(   )

1                

试题详情

16.如图,正方体中,若分别为棱的中点,分别为四边形的中心,则下列各组中的四个点不在同一个平面上的是(   )

    

   

试题详情


同步练习册答案