0  274081  274089  274095  274099  274105  274107  274111  274117  274119  274125  274131  274135  274137  274141  274147  274149  274155  274159  274161  274165  274167  274171  274173  274175  274176  274177  274179  274180  274181  274183  274185  274189  274191  274195  274197  274201  274207  274209  274215  274219  274221  274225  274231  274237  274239  274245  274249  274251  274257  274261  274267  274275  447090 

(10年海南卷地理)

图5中4条曲线分别示意北半球中纬度某湖泊的浮游植物生物量与光照、营养物质

试题详情

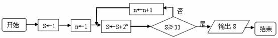
7、(2010江苏卷)右图是一个算法的流程图,则输出S的值是______▲_______

[解析]考查流程图理解。输出

试题详情

(2010山东理数)(13)执行右图所示的程序框图,若输入,则输出的值为      

[答案]

[解析]当x=10时,y=,此时|y-x|=6;

当x=4时,y=,此时|y-x|=3;当x=1时,y=,此时|y-x|=

当x=时,y=,此时|y-x|=,故输出y的值为

[命题意图]本题考查程序框图的基础知识,考查了同学们的试图能力。

(2010湖南理数)12.图2是求

的值的程序框图,则正整数    

(2010安徽理数)14、如图所示,程序框图(算法流程图)的输出值________。

14.12

[解析]

程序运行如下:

,

输出12。

[规律总结]这类问题,通常由开始一步一步运行,根据判断条件,要么几步后就会输出结果,要么就会出现规律,如周期性,等差或等比数列型.

试题详情

18.仿照下面的修辞手法和句式特点,另写两组句子。(4分)

山间的溪流,并不因为大海就在山下而停止歌唱;路旁的小草,并不因为大树就在身边而含羞躲藏;                        

试题详情

17.提取下面文段中的主要信息,用原文中的词语组合成两个四字短语概括。(4分)

没有一个国家像中国,把外语列为必修,而且为了考试而考试。在大学里,英语永远是必修课,而我们的语文,则是无所谓的,学的不好,或者干脆不学,反正丝毫不影响毕业,知道不知道名家名篇又如何,了解不了解历史又如何;在大学本科,你必须拿到英语四级证书,否则你就拿不到学位证;职称外语,研究生外语,英语已经成为一道首要门槛,你的英语过不了,你的专业能力就是再好,也是没有资格参加这些考试的。所以,很多享受高等教育的社会精英,他们的中文水平实际上可能只是相当于高中。他们精通电脑,可是荒废了手写的书法艺术,写字漂亮的人越来越少;他们钻研外语,可是用自己的母语却分明笨拙.大学生投递的求职信,甚至会有错别字,甚至文理不通。语言本来是用于表达、交流的,我们却把它当成了考试工具。外语只是专业的一种,只是技能的一种,没有必要把它抬高到如此显贵位置,人人必学,比我们的母语俨然重要了百倍千倍。我们是应该学习西方先进文明,但是我们也不能厚此薄彼,从此轻薄了我们五千年文化的语言结晶,让承载了几千年中华文明的母语走向衰落。

                           

试题详情

16.将下列语句依次填人文中的横线处,使上下文语意连贯。(只填序号)(4分)

生活中,我们的心不也正如这盛水的容器吗?没有谁的人生是一帆风顺的,挫折、苦难和种种的不如意也许随时都会降临到你的头上,那就让你的心胸像海洋那样宽广吧!_____________。

①与人交往,真的应该有一颗宽容的心

②这样的人,才会真正的内心和谐

③这样的人,才会走向人生的顶峰

④这样的人,才会成为众人心目中可亲、可敬的知己

⑤古往今来,没有哪个心胸狭窄的人会取得事业的成功

⑥常言道:“海纳百川,有容乃大。”

试题详情

15.补写出下列名句名篇中的空缺部分。(6分)

(1)          ,千金散尽还复来。(2)身无彩凤双飞翼,         

( 3)沉舟侧畔千帆过,          。  (4 )溪云初起日沉阁,         

(5 )今宵酒醒何处,           。  ( 6)无可奈何花落去,           

试题详情


同步练习册答案