0  279181  279189  279195  279199  279205  279207  279211  279217  279219  279225  279231  279235  279237  279241  279247  279249  279255  279259  279261  279265  279267  279271  279273  279275  279276  279277  279279  279280  279281  279283  279285  279289  279291  279295  279297  279301  279307  279309  279315  279319  279321  279325  279331  279337  279339  279345  279349  279351  279357  279361  279367  279375  447090 

解答应写出必要的文字说明、公式和重要演算步骤.只写出最后答案的不能得分.有数值计算的题,演算过程及结果都要在数字的后面写上单位.

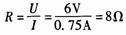
20.(1)标有“6V 3W ”的小灯泡L与额定功率为6W的电阻器R按如图13电路连接,闭合开关S时,灯L正常发光,且电流表示数为0.75A。求:

①电阻器 R 的阻值;

②整个电路消耗的实际功率。

小强同学的求解如下:

解: ① 根据欧姆定律,电阻器的电阻

② 电阻R消耗的实际电功率PR= 6W,整个电路消耗的实际功率

PPR+PL = 6W + 3W= 9W

请你指出小强同学求解过程中存在的错误,并做出正确的解答。

(2)请解释当电流流过电阻时能量的转化,并计算电阻通电2分钟时产生的多少热量?

(3)如果将灯泡和电阻改为串联时,整个电路消耗的实际功率会是多少?

试题详情

19.图12所示,现有一个电池组、滑动变阻器、开关(总开关)和两盏电灯,请你连接好符合下面要求的电路:L1的亮度不变,L2的亮度可调节。

 

试题详情

18.如图11,在一个水池里有一个点光源SSA是它发出的一条光线,在SA的行进方向上有一块平面镜,BCSA经此平面镜反射后的反射光线.请你作出平面镜的准确位置和光线BC进入空气后的大致行进方向.

试题详情

17. 如图10所示,杠杆的某处挂一重为20N的重物,拉力F1作用在A点,重物处于静止状态;请画出杠杆所受的阻力F2与F2的力臂L2,在A点最小的拉力F1的示意图。

试题详情

16.要把木箱拉到斜面顶端,小明想办法把木箱放在小车上,用沿斜面方向的轻质细绳把车和木箱匀速拉上斜面顶端(如右图9所示),整个过程历时10s。已知木箱重G=400N,车重80N,对车的拉力F=125N,斜面长L=4m,斜面高h=1m,则对木箱做的有用功是     ,总功是     ,斜面的机械效率是     ,利用斜面能

     (填“省力”或“费力”)。

试题详情

15.小明在学习了有关电磁方面的知识后,设计了如图8所示的甲、乙两个装置.


 
图8
 

(1)为了研究电磁感应现象,应选用________装置.

(2)小明选用了乙装置探究有关问题时,闭合开关后,接着进行了以下操作:①让导体AB静止在磁场中;②让导体AB在磁场中左右水平运动;③让导体AB在磁场中竖直上下运动.其中能使电流表指针发生偏转的是_______.(填序号)

(3)在甲装置的实验中,当开关闭合时,直导体AB向左运动,如果要使AB向右运动,可以采取的措施是:_____________.这个实验中,电能转化为导体的_______能.

试题详情

14.电冰箱工作时,应当使用图7中的插座_____(选填“甲”、“乙”),这是为了使电冰箱的外壳_____,保证安全工作.右表是某电冰箱的说明书中的一部分数据,它正常工作的电压是_____V,若压缩机正常工作1h,将消耗________kW·h的电能.

试题详情

13. 为了验证装在密封试管里的固态碘在受热时能直接变成气态,甲同学直接把密封试管放在酒精灯火焰上加热,如图6甲所示;而乙同学则将密封试管浸入装有沸水的烧杯中,如图6乙所示,结果两根试管里都出现了紫色的碘蒸气.已知:碘的熔点是114℃、沸点是184.35℃, 水的沸点是100℃,酒精灯火焰温度约为400℃.

由上述信息判断,请回答下列问题: 

(1)水沸腾后用猛火继续加热,水的温度      (选填“可以”或“不可以”)继续上升.

(2)沸水中加热的固态碘       (选填“可能”或“不可能”)升温到熔点熔化后,再升温到沸点汽化.

(3)酒精灯加热的固态碘       (选填“可能”或“不可能”)升温到熔点熔化后,再升温到沸点汽化.

(4)分析甲、乙两位同学的实验方法,哪一个更合理?答:      

试题详情

12、下列关于半导体的说法,正确的是(  )

  A.常温下半导体的电阻为零  

B.半导体广泛应用于各种电子设备

  C.半导体就是超导体     

D. 任何情况下半导体都是不导电的

试题详情

11.某小灯泡的额定电压为6V,小明同学通过实验测得它的电流随电压变化的曲线如图5所示。由图可知(   )

A.灯泡的电阻不变

B.灯泡的电阻会随两端的电压变化而变化

C.灯泡的额定功率随着两端电压增大而增大

D.电流I与电压U不成正比,欧姆定律在这里不适用

试题详情


同步练习册答案