0  279476  279484  279490  279494  279500  279502  279506  279512  279514  279520  279526  279530  279532  279536  279542  279544  279550  279554  279556  279560  279562  279566  279568  279570  279571  279572  279574  279575  279576  279578  279580  279584  279586  279590  279592  279596  279602  279604  279610  279614  279616  279620  279626  279632  279634  279640  279644  279646  279652  279656  279662  279670  447090 

31.下列有关生物学中几个“率”的叙述正确的是(   )

A.出生率和死亡率对种群的大小和种群密度起决定作用,出生率越高,种群密度增加得越快

B.在我国北方的冬天,适当降低温度可以增加农作物的生长速率

C.生态农业的建立,提高了各营养级间的能量传递效率

D.种群增长的“J”型曲线中,种群增长率不变,种群增长的“S”型曲线中,种群增长

速率先增加,后减小

试题详情

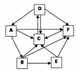
30.右图是生态系统中碳循环示意图,图中“→”表示碳的流动方向。以下叙述正确的是

A.碳元素以二氧化碳形式从D传到A和F

B.D→A→B→E构成了一条食物链

C.图中包含了7条食物链

D.B和F之间的关系为竞争和捕食

试题详情

29.下列生态学概念包括的范畴,从小到大排列正确的是  

   A.种群→个体→群落→生态系统→生物圈 

B.个体→群落→生物圈→生态系统→种群

  C.个体→种群→群落→生态系统→生物圈  

D.群落→种群→个体→生物圈→生态系统

试题详情

28.下列关于生态因素对生物影响的说法错误的是

  A.趋光性是农业害虫的共性    

 B.温暖地区的阔叶林多,而寒冷地区的针叶林多

  C.水分过多或过少都会影响陆生生物的生长和发育

  D.各种生态因素对生物的影响具有综合性

试题详情

27.稻-鸭-萍共作是一种新兴的生态农业模式,其中,水生植物红萍(满江红)适生于隐蔽环境,可作为鸭子的饲料,鸭子能吃有害昆虫并供肥,促进水稻生长。对此模式形成的生态系统,下列叙述错误的是

A.该生态环境的主要功能是物质循环和能量流动    

B.鸭子既是初级消费者,又是次级消费者

C.生物群落由水稻,红萍,鸭子和有害昆虫组成   

D.水稻和红萍分层分布,能提高光能利用率

试题详情

26.下列对各类生态系统特征的描述,正确的是

A.森林生态系统动植物种类繁多,但其调节能力差

B.草原上生活着多种动物,其中主要是两栖类动物

C.天然草原生态系统的能量可循环流动

D.任何自然生态系统中,分解者都是必不可少的

试题详情

25.对一个种群随机抽一定数量的样本进行测试,结果基因型为AA的个体占24%,基因型为Aa型的个体占70%,基因型为aa的个体占6%,则基因A和a的频率分别为( )

A.59%和41%    B.47%和53%    C.82%和18%    D.62%和38%

试题详情

24.长期使用青霉素治病,会出现一些抗药性强的细菌,使青霉素的药效降低。其原因是( )

A.青霉素对细菌有选择作用        B.细菌定向变异的结果

C.细菌对青霉素有选择作用        D.细菌对青霉素产生了适应性

试题详情

23.基因突变、基因重组和染色体变异的相同点是

A.生了遗传物质的改变           B、产生的变异均对生物有害

C、用光学显微镜都无法看到        D、都能产生新基因

试题详情

22.以下有关基因重组的叙述,正确的是  (  )

A .非同源染色体的自由组合能导致基因重组

B .姐妹染色单体间相同片段的交换导致基因重组

C .基因重组导致纯合子自交后代出现性状分离

D .同卵双生兄弟间的 性状差异是基因重组导致的

试题详情


同步练习册答案