0  279558  279566  279572  279576  279582  279584  279588  279594  279596  279602  279608  279612  279614  279618  279624  279626  279632  279636  279638  279642  279644  279648  279650  279652  279653  279654  279656  279657  279658  279660  279662  279666  279668  279672  279674  279678  279684  279686  279692  279696  279698  279702  279708  279714  279716  279722  279726  279728  279734  279738  279744  279752  447090 

第一节:单项填空(共15小题;每小题1分,满分15分)

从A、B、C、D四个选项中,选出可以填入空白处的最佳选项。

21.The A(H1N1) influenza (甲流)was spreading rapidly across the country but it remained under­____ control, _____official with the Ministry of Health said in Beijing on Sunday.

A.不填;an         B.the; an       C.不填;不填    D.the; the

试题详情

34.(10分)某一自然水体含有如下图所示的四种生物构成的食物网,请回答:

  (1)该食物网所在的生态系统中参与碳循环的生理过程

                   

(2)假如鲫鱼的同化量1/2直接来自水草、1/4来自轮虫,

且按能量传递效率10%计,则当鲫鱼每增加1000克,

则需消费        克螺蛳。

(3)鲫鱼和螺蛳间的关系是         

(4)若调查鲫鱼的种群密度,常用的方法是      。 

2010年普通高等学校招生全国统一考试预测试卷

试题详情

33.(11分)从性遗传是指常染色体上基因所控制的性状在表现型上受个体性别影响的现象,即同为杂合子的雄性和雌性个体所表现的性状是不同的。绵羊的有角和无角受一对等位基因控制,有角基因H为显性,无角基因h为隐性。一只有角公羊与一只无角母羊交配,生产多胎小羊,性成熟后,凡公羊都表现为有角,凡母羊都表现为无角。根据以上事实,可以判定绵羊有角性状的遗传方式为    (A:伴X染色体遗传,B:从性遗传)。请用遗传图解表示你的判断理由:

试题详情

32.(11分)香豌豆体内色素物质的合成过程如右图,此过程由A和a、B和b两对等位基   因(独立遗传)控制。其中具有紫色素的植株开紫花,只具有中间产物的开蓝花,

两者都没有的

则开白花。

(1)在基因工程中,若根据酶A 的氨基酸序列推测基因A的脱氧核苷酸序列而人工合成A基因,则合成的基因与原基因外显子的脱氧核苷酸序列是否一定相同?          ,理由是            

(2)基因型为AaBb的植株自花授粉,后代表现型有   种,比例为      

(3)欲测定一开白花香豌豆的基因型,可利用纯合香豌豆中表现型为       的个体与之杂交。写出预期结果及相应的结论。

试题详情

31.(10分)人体肌肉的运动,是受传出神经支配的。当兴奋传到传出神经末梢时,突触前膜释放ACh(乙酰胆碱)与突触后膜(肌细胞膜)上的ACh受体结合,引起肌肉收缩。研究表明,不少重症肌无力患者是由于受某病毒感染后,刺激机体产生某种抗体,这种抗体除了能与病毒结合外,还能与ACh受体结合,阻碍兴奋传导,导致肌无力,如下图所示,请回答下列问题:

(1)A中1结构名称是_   ____,2结构名称是         

(2)兴奋在突触处的传导是单向的原因是         

(3)在免疫学上,重症肌无力属于        病,患者所感染的病毒表面有一种     与ACh受体相似,此时ACh受体就成了       而被攻击。

(4)有科学家研制出抗上述病毒的灭活病毒疫苗.为了检测疫苗刺激机体产生抗体的能力,请你参与:

①实验过程:将健康的实验动物分成对照组和多个实验组,每组若干只动物。

对照组的处理:接种不含疫苗的接种物,一段时间后再________     ______。

实验组的处理:接种_________      ,一段时间后再接种病毒。为确定

该疫苗的有效浓度,不同实验组动物需接种___________________的疫苗。

②分析实验结果:统计实验组和对照组动物的发病率、存活率。

若该疫苗可以刺激机体产生足够的抗体.则实验组比对照组发病率__  __  

试题详情

30.(15分)已知:

某企业合成高效、低毒农药杀灭菊酯的路线如下:

(1)写出下列物质的结构简式:

C______________;D______________;E______________;F______________。

(2)从甲苯到D的四步反应中有________步是取代反应。

(3)农药杀灭菊酯的分子式为__________________。

(4)写出E→F的化学方程式____________________________________。

试题详情

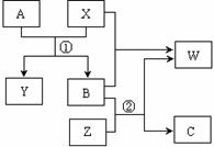
29.(15分)A、B、C、W、X、Y、Z是由周期表中短周期元素组成的七种物质,其中A、B、C是三种固体单质,W、X、Y、Z是由两种元素组成的化合物。它们之间的转化关系如图所示(所有反应物和生成物均未在框图中:

回答下列问题:

(1)化合物Z的晶体类型属于__________晶体。

(2)写出单质C的一种用途__________________________________。

(3)航天科技测知化合物N是金星大气层的成分之一,组成化合物N的元素与W相同。已知N中两种元素的质量之比为2:1,N的相对原子质量小于80,则N的化学式为_____________。又知该分子中的每个原子都满足最外层8电子的稳定结构,试写出其电子式_________________。

(4)写出下列反应的化学方程式:

①_______________________________;②_______________________________。

试题详情

28.(15分)已知硝酸铜溶液呈蓝色。但在铜与浓硝酸、稀硝酸反应的实验中,同学们发现,除了生成的气体颜色不相同外,最终溶液的颜色也不相同:前者呈绿色,而后者呈蓝色。甲、乙二位同学为此进行了实验探究。

甲:在I、II两支试管中分别加入等体积的浓HNO3和稀HNO3,再向两支试管中分别投入等质量的铜片,充分反应后铜均无剩余。结果:I中溶液呈绿色,II中溶液呈蓝色。

乙:分别取I中的绿色溶液于两支试管Ⅲ、IV中,对试管Ⅲ进行多次振荡、静置,最终溶液颜色由绿色转变为深蓝色;向试管IV中缓缓加水并不停振荡,观察到溶液由绿色变为深蓝色,最后变为淡蓝色。

请回答下列问题:

(1)分别写出Cu与浓HNO3、稀HNO3反应的化学方程式:_______、________。

(2)甲的实验_______(“能”或“不能”)说明溶液呈现不同的颜色与其物质的量浓度无关,这是因为充分反应后,I、II两试管中Cu(NO3)2溶液的物质的量浓度_______(填“相等”或“不相等”)。

(3)请你根据乙的实验,推测Cu与浓HNO3反应后溶液呈绿色的原因是________

_______________________________________________________________。

(4)请设计一个方案,验证你所得到的上述结论:___________________________

____________________________________________________________________。

试题详情


同步练习册答案