0  279606  279614  279620  279624  279630  279632  279636  279642  279644  279650  279656  279660  279662  279666  279672  279674  279680  279684  279686  279690  279692  279696  279698  279700  279701  279702  279704  279705  279706  279708  279710  279714  279716  279720  279722  279726  279732  279734  279740  279744  279746  279750  279756  279762  279764  279770  279774  279776  279782  279786  279792  279800  447090 

30.人类ABO血型资料如表:

血型
基因型
红细胞表面的抗原
A
IAIA、IAi
只有A抗原
B
IBIB、IBi
只有B抗原
O
ii
A、B两种抗原均没有
AB
IAIB
A、B两种抗原均有

(1)基因i变成基因IA或IB的现象在遗传学上称为____________,基因型为IAIB的个体,等位基因IA和IB同时表达,使红细胞表面既有A抗原又有B抗原,这种现象在遗传学上称为__________。

(2)A型血个体的红细胞表面有A抗原,A抗原的化学本质是___________,其他细胞表面没有A抗原,引起这种差异的原因是_______________。

(3)科学家进一步研究发现,A、B两种抗原具有相同的前体--H抗原,显性基因H控制H抗原的形成,没有H抗原的个体被称为孟买型,是一种特殊的血型。H、A和B血型抗原的生物合成和有关基因的位置见下图。

1)该过程说明,一些基因就是通过_______

______________,从而控制生物性状的。

2)若将孟买型个体的红细胞分别加入到A型标准血清和B型标准血清中,观察到的凝集情况是____________。    

3)h基因在人群中极为罕见,下图为一个孟买个体的家系(只有Ⅱ4为孟买型个体,Ⅱ3个体不携带h基因)

 

①Ⅱ5个体的基因型为______________,其中纯合体的概率是____________。

②Ⅱ3和Ⅱ4婚配生出AB型的女孩的概率是多少?请用遗传图解(上面方框中)和简要的文字回答。

选修1(生物技术实践)

试题详情

29.Ⅰ   一个位于槭树林和山毛榉林之间的湖泊,由于某种原因干涸了,很快长满杂草,几年后,草本植物开始减少,各种灌木却繁茂起来,最后这个湖泊演变成了一片槭树和山毛榉的混交林。这片森林在不受外力干扰的情况下将会长期占据那里,成为一个非常稳定的生态系统。

(1)这个湖泊演变成为槭树和山毛榉混交林的过程称为___________,马尾松林属于________群落。

(2)该湖泊在此演替过程中,相关变化趋势正确的是   (   )

演替时间
 
 

A           B           C          D

(3)动物生态学家对该林区周边区域进行了4种经济动物的调查,所得结果见下表,请据表回答:

种群

 
      区域           

物种






A
A1
 
A3
 
A5
B
 
B2
B3
B4
 
C
1
C2
C3
 
 
D
D1
D2
D3
 
D5

① 被调查的4种动物中,分布最广的是物种      ,分布在每个区域中的所有该物种动物组成了     。它们之间可能存在     隔离,不存在      隔离。

② 生态学家们进一步用      法调查了第    号区域群落的各动物的种群密度,发现它们的种群密度有一定密度梯度,A的种群密度最小,还发现了各物种间存在着食物关系,且A处于最高营养级。生态学家们根据上表和进一步的调查资料推出了各动物之间的简单的食物关系是:       。(用“→”连接)在这些动物所在的生态系统中,     动物有可能是草食动物;      动物有可能是杂食动物;       动物最有可能是肉食动物。

Ⅱ  适当补碘有益于人体健康,但碘是否越多越好呢?下图是在不同的浓度碘水饲喂下小鼠甲状腺肿患病率的实验结果,据此结果可推断出                  结论。

 

为验证上述结论的真实性,请你设计一个验证实验。

材料用具:鼠龄一致、发育正常、体重、健康状况相近、各项指标符合要求的雌雄小鼠各100只,普通饲料(缺碘,其他营养全面),五组不同浓度的碘水溶液(碘水饲喂量:3毫升/10克/每日),红外微光谱仪(通过体表测定小鼠甲状腺大小)。

(1)实验步骤:

① 将小鼠随机平均分成五组,并编号A、B、C、D、E,                  

                                         

                                         

                                         

                                        

④ 将各组小鼠放在相同且适宜的条件下饲养;

⑤ 一段时间后,              ,统计               

(2)设计一张表格,将预期的实验结果填入表中。

以“△”代表甲状腺正常大小,“+”的数量代表甲状腺肿的程度。

(3)如果严格按照上述实验方案操作,各组实验结果没有出现明显差异,分析可能的原因是:                          。(写出两个原因)

试题详情

6.在探究生长素类似物促进插条生根的最适浓度时,一名技术员用几种不同浓度的α-萘乙酸(一种人工合成的生长素类似物)溶液处理插条基部,然后在沙床中培养,观察生根情况。图甲是其中4组实验的结果。图乙是根据所有实验结果绘制的曲线图。图甲中的几组实验结果已在图乙中标出。请据图判断下列说法中正确的有

 

①R点对应的浓度可能是4.5mg·mL-1;②若Q点对应的浓度为3 mg·mL-1,则S点对应的浓度为6 mg·mL-1;③P点所示为组A的结果;④T点所示为组D的结果;⑤乙图说明α-萘乙酸的作用具有两重性。

A.2项   B.3项    C.4项   D.5项

试题详情

5.某研究小组的同学在探究酵母菌的细胞生理活动时,收集了酵母菌生长增殖的资料,参考如下图所示的实验装置进行了相关实验(CO2可使溴代麝香草酚蓝水溶液由蓝变绿再变黄色)。他们探究的问题是

 

A.酵母菌在什么条件下进行出芽生殖    B.酵母菌进行细胞呼吸的最适温度是多少

C.酵母菌需氧呼吸和厌氧呼吸都能产生CO2  D.怎样鉴定酵母菌在厌氧呼吸中产生的CO2

试题详情

4.为应对甲型H1N1流感疫情和防控流感大流行,我国大力推广甲型H1N1流感疫苗的接种。以下说法正确的是                        (   )

A.“甲流”痊愈者的血清可用于治疗甲流重症者,是因为该血清含有相应的浆细胞

B.疫苗进入人体刺激吞噬细胞,使之增殖分化并产生相应的抗体

C.患者痊愈后若再次感染该病毒,相应的记忆细胞会迅速产生抗体消灭病毒

D.“甲流”患者在恢复过程中,效应T细胞能够与被病毒感染的细胞接触使之解体死亡

试题详情

3.用DNA连接酶把被限制酶Ⅰ(识别序列和切点是-GATC-)切割过的运载体和被限制酶Ⅱ(识别序列和切点是-GGATCC-)切割过的目的基因连接起来后,该重组DNA分子能够再被限制酶Ⅱ切割开的概率是:

A.1/2        B.7/16      C.1/16      D.1/4

试题详情

2.某研究小组为测定药物对体外培养细胞的毒性,准备对某种动物的肝肿瘤细胞(甲)和正常肝细胞(乙)进行动物细胞培养。下列说法正确的是

A.在利用两种肝组织块制备肝细胞悬液时,必须用胰蛋白酶处理才能分散为单个细胞

B.细胞培养应在含CO2恒温培养箱中进行,CO2的作用是刺激细胞的呼吸

C.正常细胞、有的肿瘤细胞在培养过程中,均会出现贴壁生长和接触抑制现象

D.该培养液中添加动物血清补充了合成培养基中缺少的物质,也能用来培养乙肝病毒

试题详情

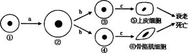
1.下图为人体细胞的分裂、分化、衰老和凋亡过程的示意图,图中①-⑥为各个时期的细胞,a-c表示细胞所进行的生理过程。据图分析,下列叙述正确的是

A.与①相比,②的表面积与体积的比值增大,与外界环境进行物质交换的能力增强

B.⑤与⑥的基因型相同,蛋白质的种类也相同

 

C.c过程细胞内的遗传信息流可表示为

D.细胞的衰老与死亡会引起人体的衰老与死亡

试题详情

29.(18分)结合图A、B和C,回答下列有关问题:(注:叶面积指数是指单位土地面积上植物叶面积数量,此值越大,表示植物叶片交错程度越大。) 

(1)组成图中[1]和[2] 的主要成分中都含有___________元素,其结构特点为_______,功能上都具有___________。

(2)A和B中能增加膜面积的结构分别为[  ]____________和[  ]_____________。

(3)A、B两种结构在遗传上都具有一定的自主性,这是因为____     ____

(4)根据图A、B在生理过程上的联系分析可知,C图中斜线部分表示____________。

(5)叶面积指数达到某值以后,光合作用的实际量不会随叶面积指数增加而增加,

原因是_________________________________________________________。

(6)研究一片成熟的森林生态系统,叶面积指数大约为_______时,进行合理开采最有利于森林生态系统的更新。

试题详情


同步练习册答案