0  282136  282144  282150  282154  282160  282162  282166  282172  282174  282180  282186  282190  282192  282196  282202  282204  282210  282214  282216  282220  282222  282226  282228  282230  282231  282232  282234  282235  282236  282238  282240  282244  282246  282250  282252  282256  282262  282264  282270  282274  282276  282280  282286  282292  282294  282300  282304  282306  282312  282316  282322  282330  447090 

5.图4为“大气热力作用示意图”。青藏高原与四川盆地纬度相当,关于两地热力状况的比较,正确的是

A.青藏高原的年平均气温较低,与①大小有关

B.四川盆地的年太阳总辐射量较小,与②大小有关

C.四川盆地的气温日较差较小,与③大小有关

D.青藏高原的年太阳辐射总量较大,与④大小有关

试题详情

图3表示110°E上O地的树影变化,F1表示日出时的树影,F2表示17时的树影,OF2与OF1等长,读图完成3-4题。

3.下列叙述正确的是

A.该地此日的昼长是10小时

B.树影从F1到F2先变长后变短

C.当树影朝向N时,北京时间是11时20分

D.该地此日的W#W$W%.K**S*&5^U日出方向是东偏北

4.若该地自然带为落叶阔叶林带,则该地

A.位于南半球中纬度地区         B.位于非洲西海岸

C.农业地域类型为水稻种植业       D.此时节易受冷锋影响

试题详情

(一)单项选择题:W#W$W%.K**S*&5^U在下列各小题的四个选项中,只有一个选项最符合题目的要求。请在答题卡上将所选答案的字母代号涂黑(18小题,每题2分,共36分)。

图1中O点为昼半球的中心点,a、b分别是O点所在的经线与纬线。读图完成1-2题。

1.关于a所在经线的叙述,正确的是

A.各地太阳高度角大于零

B.各地地方时为12点

C.6小时后,a为昏线

D.O点以北昼长夜短,O点以南昼短夜长

2.当纬线b度数达到年内最大值时,若在O点上空俯视,则所见的地球可能为图2中的

试题详情

18. (门头沟)下图是某实验中各物质间的变化关系:

请回答下列各问(提示:CuO的化学性质与Fe2O3类似,都是碱性氧化物):

(1)写出氧化铜与与稀硫酸反应的化学方程式:              

(2)气体C的化学式是       

(3)溶液D中一定含有的溶质是         (写化学式)。

答案:(1)CuO + H2SO4== CuSO4 +H2O(2)H2(3)FeSO4

试题详情

17.(延庆)下图是初中化学所学的常见化合物之间的相互转化关系(图中“→”表示物质间存在转化关系,反应条件和生成产物中的部分物质已略去)。其中A是一种常见的建筑材料,B是一种常见的气体,H是一种含钠的化合物。请回答下列问题:

(1)写出A、F、H的化学式:A:__________;F:_________;H:___________。

(2) 写出反应的化学方程式:

① E + G :_____________________________________________;

② B + D:______________________________________________。

答案:(1)A:CaCO3    F:H2O或CaO   H:NaCl 

(2)① Na2CO3 + Ca(OH)2 = CaCO3↓+ 2NaOH   ②CO2 + 2NaOH=== Na2CO3 + H2O

试题详情

16.(平谷)A、B、C、D、E分别是初中化学常见的五种化合物,其相互反应和转化关系如右图所示(“-”表示两物质能反应,“→”表示转化关系,部分生成物及反应条件已略去)。其中D、E均由两种元素组成,且不含相同元素。试回答下列问题:

(1)写出D、E的化学式:D_______,E_______

(2)写出B与D反应的化学方程式:___        ____

(3)实现A→B转化反应的化学方程式为: _         ______

其基本反应类型属于_____  __反应。

答案:(1)HCl, CO2  (2):NaOH+HCl→NaCl+H2O

(3)Ca(OH)2+Na2CO3→2NaOH+CaCO3↓  复分解反应

试题详情

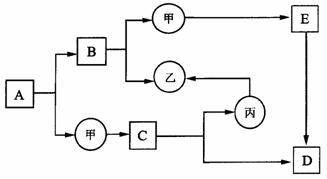
15. (房山)下图是初中化学中常见物质间的转化关系,其中甲、乙、丙为单质;A、B、C、D、E为化合物,且A与B、D与E的组成元素相同。已知甲在常温下生成C,C和E在高温条件下可生成丙和D。试推断:

(1) 写出有关物质的化学式:A_________、甲_________

 (2) 写出下列化学方程式:

    丙→乙:________________

    A→B+甲:_______________________;

    C+E→丙+D:____________________。

答案:(1)A: H2O2   甲:O2 

(2)Fe + H2SO4 === FeSO4  + H2↑ (或Fe +2 HCl= FeCl2 + H2↑)   

2H2O2MnO2 2H2O+O2↑      Fe2O3 + 3CO  2Fe + 3CO2

试题详情

14. (密云)甲是初中化学中常见的物质,请根据下列叙述回答 :

(1)若甲是一种单质,能与氧气反应生成黑色固体,该反应化学方程式为      。[来

(2) 若甲有两种元素组成,且两元素的质量比为7:3,则甲与盐酸反应的化学方程式为________________________________。

(3) 若甲能与X反应生成水,又能与氢氧化钙反应生成Y,且X与Y能发生反应,则甲的化学式可能为_________,写出甲与氢氧化钙反应化学方程式_________________________。

(4) 若甲能与水反应,将少量甲加入饱和的澄清石灰水中,澄清石灰水变浑浊,则下列说法正确的是_________________

A、甲一定是氧化钙         B、反应后溶剂的质量保持不变

C、反应后溶质的质量一定减小    D、反应前后溶液中溶质的质量分数可能不变

答案:(1) 3Fe + 2O2           Fe3O4     (2) Fe2O3 + 6HCl = 2FeCl3 +3H2O

 (3)  Na2CO3;  Ca(OH)2+Na2CO3==== CaCO3↓+2NaOH    (4) C、D

试题详情

13.(怀柔)物质A-F都是初中化学中的常见物质,它们有如图所示的转化关系。回答下列问题: 

(1)若E为不溶物,A与F能发生反应,则A、D的化学式为:A     、D        B+C反应的化学方程式:           。 

(2)若D为密度最小的气体,F为红色固体,则C、F的化学式为:C      、F     

A +B反应的化学方程式:                 

答案:(1)CO2;H2O;Ca(OH)2+Na2CO3→CaCO3↓+ 2NaOH

(2)CuSO4;Cu;Fe+H2SO4→FeSO4+H2↑(合理答案均给分)

试题详情

12.(通州)碳、氢、氧是人体内含量最多的三种元素,其中的两种或三种元素组成的化

合物A、B、C与人类生命活动密切相关,它们之间存在如下图所示关系:

请回答下列问题:

(1)写出物质的名称:A     ;B    

(2)若已知物质A和B在光合作用下可以生成C和氧气,则它们直接反应时生成的物质名称是     。这两个反应的反应物相同但生成物不同,根据这一事实可知,与化学反应生成物有关的两条因素是    

(3)写出C物质在人体内缓慢氧化为A和B的化学方程式      

答案:(1) 水  二氧化碳 (2)碳酸  反应物的种类;反应发生时的条件

  (3)C6H12O6 + 6O2  6CO2 + 6H2O

试题详情


同步练习册答案