0  283065  283073  283079  283083  283089  283091  283095  283101  283103  283109  283115  283119  283121  283125  283131  283133  283139  283143  283145  283149  283151  283155  283157  283159  283160  283161  283163  283164  283165  283167  283169  283173  283175  283179  283181  283185  283191  283193  283199  283203  283205  283209  283215  283221  283223  283229  283233  283235  283241  283245  283251  283259  447090 

1.C8H8,10mol 

试题详情

30.(16分)

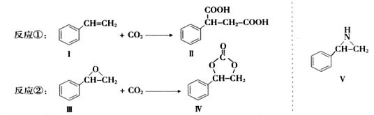
固定和利用CO2能有效地利用资源,并减少空气中的温室气体.CO2与化合物Ⅰ反应生成化合物Ⅱ,与化合物Ⅲ反应生成化合物Ⅳ,如反应①和②所示(其他试剂、产物及反应条件均省略).

(1)化合物Ⅰ的分子式为______,1 mol该物质完全燃烧需消耗_______mol O2

(2)由通过消去反应制备Ⅰ的化学方程式为________(注明反应条件).

(3)Ⅱ与过量C2H5OH在酸催化下发生酯化反应,生成的有机物的结构简式为________.

(4)在一定条件下,化合物V能与CO2发生类似反应②的反应,生成两种化合物(互为同分异构体),请写出其中任意一种化合物的结构简式:________.

(5)与CO2类似,CO也能被固定和利用.在一定条件下,CO、和H2三者发生反应(苯环参与反应),生成化合物Ⅵ和Ⅶ,其分子式均为C9H8O,且都能发生银镜反应.下列关于Ⅵ和Ⅶ的说法正确的有________(双选,填字母).

A.都属于芳香烃衍生物   B.都能使溴的四氯化碳溶液褪色

C.都能与Na反应放出H2  D. 1 molⅥ或Ⅶ最多能与4 mol H2发生加成反应

试题详情

23.铜锌原电池(如图9)工作时,下列叙述正确的是

A 正极反应为:Zn-2e-=Zn2+ 

B。电池反应为:Zn+Cu2+=Zn2+ +Cu 

C 在外电路中,电子从负极流向正极 

D 盐桥中的K+移向ZnSO4溶液 

A答案应为负极。D答案盐桥中的K+移向CuSO4溶液

试题详情

22.对实验Ⅰ~Ⅳ的实验现象预测正确的是

A 实验Ⅰ:液体分层,下层呈无色

B 实验Ⅱ:烧杯中先出现白色沉淀,后溶解

C.实验Ⅲ:试管中溶液颜色变为红色 

D 实验Ⅳ:放置一段时间后,饱和CuSO4溶液中出现蓝色晶体

A答案CCl4密度比水大,在下层,上层为水层呈无色。B答案沉淀不会溶解。C答案Fe3+与KSCN结合为血红色。D答案因为CaO有吸水性。

试题详情

12. HA为酸性略强与醋酸的一元弱酸.在0.1mol. NaA溶液中,离子浓度关系正确的是

A. c(Na+)> c(A-)> c(H+)> c(OH-)

B. c(Na+)>c(OH-) > c(A-) > c(H+)

C. c(Na+)+  c(OH-)= c(A- )+ c(H+)

D. c(Na+)+ c(H+)= c(A-)+  c(OH-)

NaA属于强碱弱酸盐,水溶液显碱性,根据电荷守恒可知D答案正确

试题详情

11.下列说法正确的是

A.乙烯和乙烷都能发生加聚反应

B.蛋白质水解的最终产物是多肽

C.米酒变酸的过程涉及了氧化反应

D.石油裂解和油脂皂化都有高分子生成小分子的过程

A答案乙烷不能发生加聚反应。B答案蛋白质水解的最终产物是氨基酸。C答案米酒部分氧化为乙酸。D答案裂解指把长链的分子烃断裂成各种短链的气态烃和少量液态烃。油脂皂化是指油脂在碱性条件下发生水解,不属于高分子。

试题详情

10.短周期金属元素甲~戊在元素周期表中的相对位置如右表所示:

下面判断正确的是

A.原子半径: 丙<丁<戊      B金属性:甲>丙      

C.氢氧化物碱性:丙>丁>戊   D.最外层电子数:甲>乙

A答案应该为丙>丁>戊。B答案应该为甲<丙。C答案因为金属性丙>丁>戊,故正确。D答案应该为甲<乙。

试题详情

9.在298K、100kPa时,已知:2    ⊿

                   ⊿

                 ⊿

则⊿与⊿和⊿间的关系正确的是

A .⊿=⊿+2⊿          B ⊿=⊿+⊿

C. ⊿=⊿-2⊿          D. ⊿=⊿- ⊿

根据盖斯定律可知为A

试题详情

8.设 nA 为阿伏加德罗常数的数值,下列说法正确的是

A.16g CH4中含有4 nA个C-H键

B.1mol.溶液含有nA

C.1mol Cu和足量稀硝酸反应产生nA个NO分子

D.常温常压下,22.4L中含有nA分子

A.16gCH4为1mol,根据甲烷的结构式可知含有4 nA个C-H键。B.体积未知。C 根据电子守恒可知产生2nA/3个NO分子。D条件应该为标准状况。

试题详情

7.能在溶液中大量共存的一组离子是

A . NH4+ 、Ag+ 、PO43-  、Cl-     B. Fe3+、H+、I-、HCO3-

C.K+、 Na+、 NO3-  、 MnO4-     D.Al3+ 、Mg2+  、SO42- 、CO32-

A答案Ag+和PO43-、Cl-不能大量共存。B答案Fe3+和I-、HCO3-不能大量共存;H+和HCO3-也不能大量共存;D答案Al3+、Mg2+和CO32-不能大量共存

试题详情


同步练习册答案