0  283889  283897  283903  283907  283913  283915  283919  283925  283927  283933  283939  283943  283945  283949  283955  283957  283963  283967  283969  283973  283975  283979  283981  283983  283984  283985  283987  283988  283989  283991  283993  283997  283999  284003  284005  284009  284015  284017  284023  284027  284029  284033  284039  284045  284047  284053  284057  284059  284065  284069  284075  284083  447090 

24. Thousands of foreigners were______ to  the Shanghai World Expo the day it opened.

A. attended  B. attained  C. attracted  D. attached

选C。表示成千上万的外宾被吸引来参加上海的世博会。

试题详情

23.-why, Jack, you look so tired!

 -Well, I _____the house and I must finish the work tomorrow.

A. was painting   B. will be painting  C. have painted  D. have been painting

选D。我给房子上油漆一直进行到现在,而且到明天才会完成。所以用现在完成进行时

试题详情

22. The doctor is skilled at treating heart trouble and never accepts any gift from his patients, so he has a very good_____.

A. expectation   B. reputation  C. contribution  D. civilization

选B,reputation 表示名声而expectation是期望的意思。Contribution是贡献的意思。Civilization是文明的意思。

试题详情

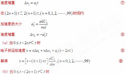
15.(16分)制备纳米薄膜装置的工作电极可简化为真空中间距为的两平行极板,如图甲所示,加在极板A、B间的电压作周期性变化,其正向电压为,反向电压为

电压变化的周期为2r,如图乙所示.在t=0时,极板B附近的一个电子,质量为m、电荷量为e,受电场作用由静止开始运动.若整个运动过程中,电子未碰到极板A,且不考虑重力作用.

(1)若,电子在0-2r时间内不能到达极板,求应满足的条件;

(2)若电子在时间内未碰到极板B,求此运动过程中电子速度随时间t变化的关系;

(3)若电子在第个周期内的位移为零,求k的值。

[解析]本题考查带电粒子在电场中的运动、匀变速直线运动的规律,属于变力多过程问题,解题的关键是找到相似点,进行类比计算;同时要兼顾整个过程的重复性,把复杂多变的过程分解为许多常见的简单过程进行计算。

(2)在时间内

电子的运动速度         ⑾

解得          ⑿

(3)电子在时间内的位移 

试题详情

14. (16分)

在游乐节目中,选手需借助悬挂在高处的绳飞越到水面的浮台上,小明和小阳观看后对此进行了讨论.如图所示,他们将选手简化为质量m=60kg的质点,选手抓住绳由静止开始摆动,此时绳与竖直方向夹角=,绳的悬挂点O距水面的高度为H=3m.不考虑空气阻力和绳的质量,浮台露出水面的高度不计,水足够深。取重力加速度.

(1)    求选手摆到最低点时对绳拉力的大小F;

(2)    若绳长=2m,选手摆到最高点时松手落入手中.设水对选手的平均浮力,平均阻力,求选手落入水中的深度

(3)      若选手摆到最低点时松手,小明认为绳越长,在浮台上的落点距岸边越远;小阳却认为绳越短,落点距岸边越远,请通过推算说明你的观点。

时,x有最大值   解得 

因此,两人的看法均不正确.当绳长越接近1.5 m时,落点距岸边越远.

[思维拓展]审题的关键是对不同过程的进行准确分析,找到相应的知识点,对症下药;巧妙地选取运动过程可以使问题得到简化,例如本题整体法应用动能定理。灵活地运用数学知识,特别是简单常用的数学模型,是解决极值问题和范围等问题的有效工具。

试题详情

13.(15分)如图所示,两足够长的光滑金属导轨竖直放置,相距为,一理想电流表与两导轨相连,匀强磁场与导轨平面垂直.一质量为m、有效电阻为的导体棒在距磁场上边界h处静止释放.导体棒进入磁场后,流经电流表的电流逐渐减小,最终稳定为。整个运动过程中,导体棒与导轨接触良好,且始终保持水平,不计导轨的电阻。求:

(1)    磁感应强度的大小

(2)    电流稳定后,导体棒运动速度的大小

(3)    流经电流表电流的最大值

试题详情

12.[选做题]本题包括A、B、C三小题,请选定其中两题并在相应的答题区域内作答.若三题都做,则按A、B两题评分.

A.(选修模块3-3)(12分)

(1)为了将空气装入气瓶内,现将一定质量的空气等温压缩,空气可视为理想气体.下列图象能正确表示该过程中空气的压强p和体积V关系的是   ▲ 

(2)在将空气压缩装入气瓶的过程中,温度保持不变,外界做了24kJ的功.现潜水员背着该气瓶缓慢地潜入海底,若在此过程中,瓶中空气的质量保持不变,且放出了5kJ的热量.在上述两个过程中,空气的内能共减小   ▲   kJ,空气   ▲   (选填“吸收”或“放出”)的总能量为  ▲  kJ.

(3)已知潜水员在岸上和海底吸入空气的密度分别为1.3kg/和2.1kg/,空气的摩尔质量为0.029kg/mol,阿伏加德罗常数=6.02.若潜水员呼吸一次吸入2L空气,试估算潜水员在海底比在岸上每呼吸一次多吸入空气的分子数.(结果保留一位有效数字)

B.(选修模块3-4)(12分)

(1)激光具有相干性好,平行度好、亮度高等特点,在科学技术和日常生活中应用广泛.下面关于激光的叙述正确的是   ▲ 

(A)激光是纵波

(B)频率相同的激光在不同介质中的波长相同

(C)两束频率不同的激光能产生干涉现象

(D)利用激光平行度好的特点可以测量月球到地球的距离

(2)如图甲所示,在杨氏双缝干涉实验中,激光的波长为5.30×m,屏上P点距双缝的路程差为7.95×m,则在这里出现的应是  ▲   (选填“明条纹”或“暗条纹”).现改用波长为6.30×m的激光进行上述实验,保持其他条件不变,则屏上的条纹间距将  ▲  (选填“变宽”、“变窄”或“不变”).

(3)如图乙所示,一束激光从O点由空气射入厚度均匀的介质,经下表面反射后,从上面的A点射出.已知入射角为iAO 相距l,介质的折射率为n,试求介质的厚度d

  解得d=

C.(选修模块3-5)(12分)

(1)研究光电效应电路如图所示.用频率相同、强度不同的光分别照射密封真空管的钠极板(阴极K),钠极板发射出的光电子被阳极A吸收,在电路中形成光电流.下列光电流I与A、K之间的电压的关系图象中,正确的是   ▲  

(2)钠金属中的电子吸收光子的能量,从金属表面逸出,这就是光电子.光电子从金属表面逸出的过程中,其动量的大小  ▲   (选填“增大”、“减小”或“不变”),原因是___▲____

(3)已知氢原子处在第一、第二激发态的能级分别为-3.40eV和-1.51eV,金属钠的截止频率为Hz,普朗克常量h=Js.请通过计算判断,氢原子从第二激发态跃迁到第一激发态过程中发出的光照射金属钠板,能否发生光电效应.

试题详情


同步练习册答案